Визначення криволінійного інтегралу І роду
Нехай вздовж кривої
визначена якась функція
, яку назовемо «функцією точки». Повторимо дії, що були проведені вище для задачі про масу кривої для довільної функції
. Нехай
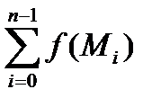
, побудуємо
=
. (30)
Сума (30) є інтегральною сумою для криволінійного інтегралу І типу.
Аналогічний процес побудови інтегральної суми можна використовувати і в випадку замкненої кривої.
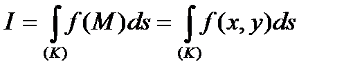
Визначення 1. Нехай існує скінченна границя
,
яка не залежить ні від способу розбивки
на частки
, ні від вибору проміжкових точок
, то ця границя називається криволінійним інтегралом І роду від функції
по кривій
і позначається:
.
Тоді відповідно до формули (20) і визначення 1 маса кривої обчислюється як
.
Зауваження 1. В визначенні криволінійного інтегралу І роду немає значення напрямок, який обирається на кривій
, тобто, якщо точки
- це кінці кривої
, то
.
Аналогічно визначається криволінійний інтеграл І роду по кривій
, яка знаходиться не на площині, а в тривимірному просторі:
.
Дата добавления: 2015-08-21; просмотров: 1111;
