Частотные критерии устойчивости. Критерий Михайлова. Критерий Найквиста
Принцип аргумента. В основе частотных критериев устойчивости лежит известный в теории функций комплексного переменного принцип аргумента.
Пусть дано алгебраическое уравнение с действительными коэффициентами
(2.2.1)
Многочлен
можно представить в виде
(2.2.2)
где
— корни уравнения
.
Положим
, тогда
(2.2.3)
Рассмотрим геометрическое представление комплексного числа
на комплексной плоскости р. Начало вектора, изображающего это комплексное число, лежит в точке pi, а конец—на мнимой оси в точке
(рисунок 2.2.1).

Рисунок 2.2.1 - Геометрическое представление комплексного числа
Найдем аргумент комплексного числа
(2.2.4)
При изменении аргумента
с изменением w в пределах от -¥ до +¥
(2.2.5)
Согласно (2.2.4), для подсчета изменения аргумента необходимо подсчитать сумму изменений аргументов выражений вида
. Это изменение аргумента зависит от того, в какой (правой или в левой) полуплоскости лежит корень
. Рассмотрим эти два случая.
Корень pi лежит в левой полуплоскости (рисунок 2.2.2, а). При изменении w в пределах от -¥ до +¥ конец вектора
скользит вдоль мнимой оси снизу вверх, поворачиваясь против часовой стрелки на 180°, и, следовательно, изменение аргумента при этом
(2.2.6)

Рисунок 2.2.2 - Расположение корней характеристического
уравнения 
Корень pi лежит в правой полуплоскости (рисунок 2.2.2, б). В этом случае получим
(2.2.7)
Допустим, что уравнение
имеет m корней в правой полуплоскости и l корней в левой полуплоскости. При этом
. Тогда, на основании (2.2.3), (2.2.6) и (2.2.7)
(2.2.8)
Уравнение (2.2.8) представляет собой выражение принципа аргумента, который формулируется следующим образом. Изменение аргумента
при изменении w от -¥ до +¥ равно разности между числом корней l (уравнения
), лежащих в левой полуплоскости, и числом корней m, лежащих в правой полуплоскости, умноженной на p.
Критерий Михайлова. Критерий устойчивости А.В. Михайлова является по существу геометрической интерпретацией принципа аргумента. Пусть дано характеристическое уравнение системы (2.2.1)

Полином
в этом случае называется характеристическим полиномом. Для того чтобы система была устойчива, необходимо, чтобы все корни характеристического уравнения лежали в левой полуплоскости, т.е. чтобы
. В этом случае согласно (2.2.8) должно удовлетворяться уравнение
(2.2.9)
Из условия (2.2.9) следует, что все корни уравнения
лежат в левой полуплоскости.
Геометрическое место конца вектора
при
, называется годографом вектора
, или годографом Михайлова. Согласно (2.2.1), уравнение годографа Михайлова
(2.2.10)
где действительная и мнимая части комплекса
соответственно будут:
(2.2.11)
(2.2.12)
Из (2.2.11) и (2.2.12) следует, что действительная часть
является чётной функцией от w

а мнимая часть
является нечетной функцией w

Следовательно,
(2.2.13)
т.е.
и
являются сопряженными комплексными величинами и, таким образом,
(2.2.13)
Учитывая (2.2.13), уравнение (2.2.9) можно записать в виде
(2.2.14)
Из (2.2.14) следует формулировка критерия устойчивости Михайлова. Система автоматического регулирования устойчива, если при изменении w от 0 до +¥ вектор
поворачивается на угол
, где n — степень характеристического уравнения
; или, иначе, если годограф
c ростом w от 0 до +¥, начинаясь на действительной оси, обходит последовательно в положительном направлении (против часовой, стрелки) n квадрантов.
На рисунке 2.2.3, а показаны годографы
устойчивых систем для разных значений n. Все они охватывают соответствующее число квадрантов в положительном направлении.

Рисунок 2.2.3 - Годографы устойчивых (а) и неустойчивых (б)
по критерию Михайлова систем
На рисунке 2.2.3, б показаны годографы неустойчивых систем. Все они не удовлетворяют условию обхода n квадрантов в положительном направлении.
Годограф
можно построить по уравнениям (2.2.11) и (2.2.12), задаваясь значениями w и вычисляя U и V.
Критерий Найквиста. Для исследования устойчивости усилителей с обратной связью Найквист в 1932 г. предложил критерий устойчивости, основанный на исследовании частотных характеристик системы. Этот критерий был по-новому обоснован, обобщен и применен в теории автоматического регулирования А.В. Михайловым в 1938 г. Для исследования устойчивости замкнутой системы регулирования согласно этому критерию необходимо знать частотный годограф разомкнутой системы. Эту характеристику можно получить как аналитически, так и экспериментально. Последнее обстоятельство выгодно отличает рассматриваемый критерий устойчивости от ранее изложенных.
Критерий устойчивости, основанный на построении частотного годографа разомкнутой системы. Пусть передаточная функция разомкнутой системы регулирования
. Образуем функцию
(2.2.15)
Числитель этой функции представляет собой характеристический полином замкнутой системы, знаменатель — характеристический полином разомкнутой системы. Пусть степень
равна п и степень
равна r. Из физических соображений следует, что
(2.2.16)
В противном случае, при
из передаточной функции
можно выделить слагаемые с р выше нулевой степени, что соответствует дифференцирующим звеньям, которые не могут быть реализованы на практике.
Учитывая неравенство (2.2.16), можно утверждать, что степень полинома
также равна п.
Рассмотрим три случая состояния разомкнутой системы: устойчива, неустойчива и нейтральна.
1-й случай — система в разомкнутом состоянии устойчива.
Тогда согласно критерию устойчивости Михайлова изменение аргумента характеристического полинома разомкнутой системы

Если потребовать, чтобы система в замкнутом состоянии была устойчива, то должно удовлетворяться равенство

Из (2.2.15) при этом следует, что
(2.2.17)
Таким образом, система автоматического регулирования устойчива, если изменение аргумента вектора
при изменении w от 0 до ¥, равно нулю.
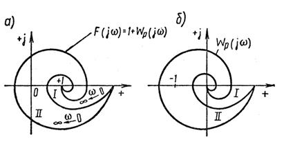
На рисунке 2.2.4, а показаны два годографа
; I соответствует устойчивой системе: он не охватывает точку (0, 0), II — неустойчивой: он охватывает точку (0, 0). Так как
отличается от
на +1, то сказанное можно сформулировать непосредственно для характеристики
(см. рисунок 2.2.4, б).

Рисунок 2.2.4 - Годографы
и
устойчивой и неустойчивой по Найквисту систем
Замкнутая система устойчива, если годограф разомкнутой системы
не охватывает точку
.
2-й случай — система в разомкнутом состоянии неустойчива.
При рассмотрении многоконтурных и одноконтурных систему содержащих неустойчивые звенья, разомкнутая система может оказаться неустойчивой.
Пусть система в разомкнутом состоянии неустойчива, при этом характеристическое уравнение разомкнутой системы имеет т корней в правой полуплоскости. Тогда согласно принципу аргумента (2.2.8)

или, учитывая симметрию характеристик для +w и -w,

Если потребовать, чтобы система в замкнутом состоянии была устойчива, то должно выполняться равенство

При этом согласно (2.2.15)
(2.2.18)
Таким образом, система автоматического регулирования устойчива, если при изменении w от нуля до бесконечности годограф разомкнутой системы
охватывает
раз точку
в положительном направлении, где т — число корней характеристического уравнения разомкнутой системы, лежащих в правой полуплоскости.
Кратность охвата может быть наглядно определена числом оборотов, совершенных вектором, проведенным из точки
в текущую точку годографа.
На рисунке 2.2.5 показан годограф устойчивой системы в замкнутом состоянии, которая в разомкнутом состоянии неустойчива, а число корней ее
. Годограф охватывает в положительном направлении точку
один раз
и, следовательно, согласно (2.2.18) система в замкнутом состоянии устойчива.

Рисунок 2.2.5 - Годограф устойчивой по Найквисту системы
3-й случай — система в разомкнутом состоянии нейтральна. В этом случае передаточная функция системы в разомкнутом состоянии
(2.2.19)
где n — число интегрирующих звеньев в системе;
и
— полиномы от р, причем
не имеет нулей в правой полуплоскости и на мнимой оси.
Из (2.2.19) следует, что
при
стремится к ¥, и поэтому по виду годографа
, имеющему разрыв при
, трудно судить, охватывает ли он точку
, и решать вопрос об устойчивости системы. В этом случае требуется специальное исследование годографа вблизи точки, соответствующей
.
Путём предельного перехода этот случай можно получить из рассмотрения первого или второго случая. Решим задачу путем применения выводов, сделанных для системы, устойчивой в разомкнутом состоянии. Рассмотрим случай, когда
.
Тогда
(2.2.20)
При
значение Wр по (2.2.20) обращается в ¥, поэтому для сохранения формулировки критерия, справедливой для устойчивых в разомкнутом состоянии систем, при построении годографа либо, обходя мнимую ось от -¥ до +¥, огибают точку (0, 0) справа по полуокружности бесконечно малого радиуса
(рисунок 2.2.6, а), либо рассматривают нулевой корень, как предел отрицательного вещественного корня (рисунок 2.2.6, б)
при
.
Воспользуемся вторым вариантом предельного перехода от устойчивой разомкнутой системы к нейтральной. В этом случае вместо функции
воспользуемся функцией
, которая переходит в
при
,
(2.2.21)
При
(2.2.22)
где b0 и d0 — значения полиномов
и
при
; R ¾ значение
при
.
При малых частотах годограф при
отличается от годографа
, принимая вид пунктирной кривой, показанной на рисунке 2.2.6, в. По мере стремления b к нулю
и годограф
отличается от годографа
только четвертью окружности бесконечно большого радиуса, дополняемой при
. Будем называть такую часть окружности "дополнением в бесконечности".

Рисунок 2.2.6 - Годографы нейтральной в разомкнутом состоянии системы
Для
— это четверть окружности бесконечно большого радиуса, для
— это уже половина окружности, а для произвольного значения n дополнение годографа в бесконечности представляет собой дугу, состоящую из n четвертей окружности бесконечно большого радиуса, начинающуюся при частоте
на действительной оси и с увеличением частоты описывающей угол
в отрицательном направлении вокруг начала координат.
Таким образом, система с одним интегрирующим звеном, годограф которой с его дополнением в бесконечности показан на рисунке 2.2.6, в, не охватывает точку
, является устойчивой.
На рисунке 2.2.6, г показан годограф, соответствующий неустойчивой системе, так как он охватывает точку
.
Из сказанного следует, что система автоматического регулирования, нейтральная в разомкнутом состоянии, устойчива, если годограф разомкнутой системы с его дополнением в бесконечности не охватывает точку
.
Дата добавления: 2015-08-21; просмотров: 1949;
