Различные виды прямой
| Note 1 | В математике понятие «точка», «прямая», «плоскость» – является первичным и через более простое понятие не определяется. |
1.
– уравнение прямой с угловым коэффициентом;
2.
– уравнение прямой, проходящей через две точки;
3.
– уравнение пучка прямых;
4.
– уравнение прямой в отрезках;
5.
– общее уравнение прямой;
6.
– нормальное уравнение прямой.

1.
.
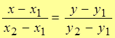
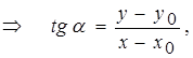
Пусть на плоскости задана д.п.с.к. X0Y. Пусть L – прямая, проходящая под углом α к оси 0Х и отсекающая отрезок b на оси 0Y. Пусть tgα=k. Пусть т.
.

Из прямоугольного треугольника ΔAMN
учитывая, что
получим
или
ч. т. д.
2.
.
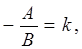
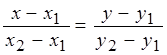
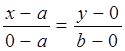
Пусть прямая L принадлежит плоскости с д.п.с.к. X0Y. Пусть две «фиксированные» точки
и
принадлежат прямой L. Пусть т.
– ее «текущая» точка.
|
Из подобия
~
~
следует, что
, ч. т. д.
3.
.
Пусть прямая L принадлежит плоскости с д.п.с.к. X0Y. Пусть «фиксированная» т.
и «текущая» т.
принадлежат прямой L. Пусть α – угол между прямой L и осью 0Х.
|
Из прямоугольного треугольника ΔM0MN
или
. Если угловой коэффициент k считать переменной величиной, то получим бесконечное множество прямых, проходящих через т. М0 .
4. 
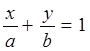
Пусть прямая L принадлежит плоскости с д.п.с.к. X0Y и отсекает отрезок а на оси 0Х и отрезок b на оси 0Y. Пусть координаты этих точек A(a;0), B(0;b).
|
Составим уравнение прямой, проходящей через т. А и т. В.
, откуда
, ч. т. д.
5.
.
Пусть x, y – переменные величины; A, B, C – числа (const).
Докажем, что на плоскости с д.п.с.к. X0Y это уравнение описывает некоторую прямую L.
Действительно, пусть
, тогда
или, обозначая
получим
– уравнение прямой с угловым коэффициентом (см. 1).
Пусть
– прямая параллельна оси 0Y.
Пусть
– прямая параллельна оси 0X.
Пусть
– уравнение оси 0Y.
Пусть
– уравнение оси 0X.
6.
.
Пусть прямая L принадлежит плоскости с д.п.с.к. X0Y. Пусть p - расстояние от начала координат до прямой L.
.
Пусть т.
– «текущая» точка прямой L.
Пусть r – расстояние от начала координат до т. М.
Пусть т.
и
тогда
.
Пусть угол между ON и осью 0Х равен α, а угол между OM и осью 0Х равен β.
Из прямоугольного треугольника ΔONM следует, что
,
или (применяя формулы тригонометрии)
.
Учитывая, что
, получим
, ч. т. д.
| Note 2 | Дома или на п/з из каждого уравнения 1 – 6 получить остальные уравнения 1 – 6. |
Дата добавления: 2015-08-20; просмотров: 738;
