Оценивание относительного запаздывания
Задача оценки времени относительного запаздывания между двумя сигналами решается, например, при установлении местонахождения неизвестного источника, излучающего энергию с известной скоростью распространения, путем определения запаздывания между парами наблюдений на выходе.
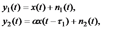
Рассмотрим частный случай системы с одним входом и двумя выходами (рисунок 3.2), которые имеют вид
(3.6)
где
– коэффициент относительного затухания;
– запаздывание.
Шумовые слагаемые
и
предполагаются некоррелированными между собой и с входным процессом
.

– входной процесс;
,
– выходные процессы трактов;
,
– частотные характеристики трактов;
,
– шумы на выходе трактов
Рисунок 3.2 – Система с одним входом и двумя выходами
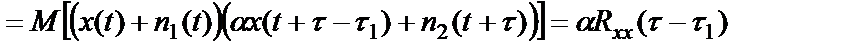
Взаимная ковариационная функция и взаимная спектральная плотность процессов
,
, определенных уравнениями (3.6), имеют вид

(3.7)
и

. (3.8)
Важно отметить, что в формулах (3.7), (3.8) отсутствуют шумовые составляющие
и
, что означает независимость функций
от внешних помех.
Кроме того, выражение для
является функцией от
,
и
и имеет, очевидно, максимум при
. Запаздывание
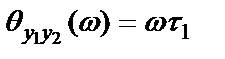
также линейно входит в фазовую составляющую взаимной спектральной плотности
.
Следовательно, запаздывание
можно определить либо по взаимной ковариационной функции, либо по взаимной спектральной плотности из формул (3.7), (3.8).
Дата добавления: 2015-08-14; просмотров: 605;
