Оценка значимости параметров связи
Если двумерная случайная величина
распределена нормально, то
связаны линейной корреляционной зависимостью.
Пусть дана двумерная генеральная совокупность
, распределенная по нормальному закону. Из этой совокупности извлекают выборку объема n и по ней определяют выборочный коэффициент корреляции
, который оказался отличным от нуля. Выборка отобрана случайно, следовательно, нельзя утверждать, что коэффициент корреляции генеральной совокупности
отличен от нуля. Возникает необходимость при заданном уровне значимости
проверить нулевую гипотезу о равенстве нулю генерального коэффициента корреляции
при конкурирующей гипотезе
. Если нулевая гипотеза отвергается, то выборочный коэффициент корреляции значимо отличается от нуля, а X и Y связаны линейной зависимостью.
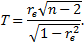
В качестве критерия проверки нулевой гипотезы принимают случайную величину

Величина Т при справедливости нулевой гипотезы имеет распределение Стьюдента с
степенями свободы.
Для того, чтобы при заданном уровне значимости
проверить нулевую гипотезу
о равенстве нулю генерального коэффициента корреляции нормальной двумерной случайной величины при конкурирующей гипотезе
, следует вычислить наблюдаемое значение критерия

По таблице критических точек распределения Стьюдента, по заданному уровню значимости
и числу степеней свободы
найти критическую точку
для двусторонней критической области.
Если
, то нет оснований отвергнуть нулевую гипотезу.
Если
, то нулевую гипотезу отвергают.
Контрольные вопросы
1. Какую зависимость называют корреляционной?
2. Для чего служит корреляционный момент?
3. Указать пределы изменения коэффициента корреляции и на что указывает это изменение?
4. Если две случайные величины связаны линейной корреляционной зависимостью, на что это указывает?
5. Какую случайную величину принимают в качестве критерия проверки нулевой гипотезы о равенстве нулю генерального коэффициента корреляции?
Дата добавления: 2015-08-11; просмотров: 725;
