Свойства определенного интеграла. Теорема Коши о существовании определенного интеграла
Свойства определенного интеграла.
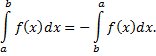
1)Если функция
определена в точке
справедливо равенство

2)Если функция
интегрируема на отрезке
, то

3)Интеграл

4)Если функция
интегрируема на отрезке
и
, то функция
также интегрируема на отрезке
и справедливо равенство

5)Если функции
интегрируемы на отрезке
, то функция
также интегрируема на отрезке
и справедливо равенство

6)Если функция
интегрируема на отрезке
и
то функция
интегрируема на отрезках
и справедливо равенство

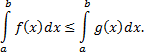
7)Если функция
интегрируема на отрезке
и
при всех
, то

8)Если функции
интегрируемы на отрезке
и
при всех
, то

9)Если функция
интегрируема на отрезке
и
при всех
, то

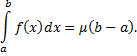
10)Если функция
интегрируема на отрезке
и
при всех
, то существует такое число
, удовлетворяющее неравенствам
, что

11)Если функция
интегрируема на отрезке
, то на этом отрезке найдется такая точка
, что справедливо равенство

Определенный интеграл

являющийся пределом интегральных сумм есть постоянная величина, не зависящая от того, какой буквой обозначена переменная интегрирования. Поэтому, если переменную
под знаком определенного интеграла обозначить другой буквой, то интеграл не изменится, т.е.

Достаточное условие существования определенного интеграла.
Если функция
непрерывна на отрезке
, то она интегрируема на этом отрезке.
Дата добавления: 2015-08-11; просмотров: 1586;
