Каноническое уравнение гиперболы и ее характеристики
Гиперболой называется множество всех точек плоскости, абсолютная величина разности расстояний которых до двух данных точек, называемых фокусами, есть величина постоянная
причем эта постоянная меньше расстояния между фокусами. Если поместить фокусы гиперболы в точках
то получается каноническое уравнение гиперболы
где
Вершинами гиперболы являются точки
тогда
действительная ось гиперболы,
мнимая ось гиперболы.

Рис. 16
Гипербола
Гипербола имеет две асимптоты 
Эксцентриситет гиперболы
Фокальные радиус-векторы левой ветви гиперболы:
Фокальные радиус-векторы правой ветви гиперболы:
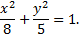
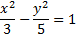
Рассмотрим пример. Найти уравнение гиперболы, вершины и фокусы которой находятся в соответствующих фокусах и вершинах эллипса

Найдем координаты фокусов, в которых лежат вершины гиперболы

следовательно


Рис. 17
Вершины гиперболы лежат в фокусах эллипса, следовательно


фокусы гиперболы, т.е. 

Тогда

- уравнение гиперболы.
Дата добавления: 2015-08-11; просмотров: 2026;
