Исследование кривых второго порядка
Исследование кривых второго порядка.
Общее уравнение кривой второго порядка можно представить уравнением
Чтобы определить тип кривой, нужно вычислить дискриминант старших членов

и дискриминант уравнения

Если
то кривая центральная, если
то кривая нецентральная.
В зависимости от значений
общее уравнение кривой определяет следующий геометрический образ,
Таблица 1
|
| |
| эллипс | точка |
| гипербола | пара пересекающихся прямых |
| парабола | пара параллельных прямых |
Преобразование центральной кривой.
1) Найдем координаты центра кривой, для чего составим и решим систему

Решение системы будет точка
– центр кривой.
Необходимо выполнить параллельный перенос начала координат системы
в центр кривой – точку
После преобразования параллельного переноса общее уравнение кривой второго порядка не будет содержать членов с первыми степенями переменных
и
а группа старших членов останется неизменной.
Уравнение примет вид

2) Найдем угол поворота системы
по формуле

Вычислим


Знак
выбирается в соответствии с тем, в какой четверти выбран угол 
Если при этом вычисление
окажется затруднительным, то следует, зная
найти
из таблиц.
Подставить значение
в формулы поворота осей координат


Формулы поворота подставим в уравнение

При этом преобразовании в уравнении кривой коэффициент при произведении
обратится в нуль, свободный член
останется неизменным.
Уравнение примет вид

Это уравнение, которое приводится к каноническому.
Преобразование нецентральной кривой
Преобразование кривой параболического типа следует начать с поворота системы координат на угол
который находится по формуле

Вычислим
по формулам

Подставим значения
в формулы поворота осей координат

Формулы поворота подставим в заданное уравнение. При этом преобразовании в уравнении кривой коэффициенты при
и
или при
обратятся в нуль, а свободный член остается неизменным.
Уравнение кривой примет вид

или

В полученном уравнении выделим квадрат двучлена, т.е. приведем к виду

или
т.е.


Выполнить преобразование параллельного переноса начала координат в вершину параболы, обозначив

где точка
вершина параболы, начало координат системы 
Уравнение кривой при этом примет вид

- это каноническое уравнение параболы.
Преобразование нецентральной кривой
Если
то уравнение кривой можно представить в виде

Решив это квадратное уравнение относительно двучлена
получим пару параллельных прямых


где
корни квадратного уравнения относительно двучлена 
Рассмотрим пример. Преобразовать к каноническому виду и построить кривую

Вычислим дискриминант старших членов

Вычислим дискриминант уравнения

Вывод:
следовательно, кривая центральная-эллипс.
Выполним преобразование параллельного переноса начала координат в центр кривой, координаты которого найдем из системы

Центр кривой – точка 
Уравнение примет вид


данное уравнение не содержит членов с первыми степенями
группа старших членов остается неизменной.
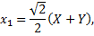
Выполним преобразование поворота осей координат, на угол которой найдем по формуле


Формулы поворота осей координат примут вид


Подставим их в уравнение кривой, получим




каноническое уравнение эллипса, где 
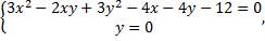
Найдем точки пересечения кривой с осью
для чего решим систему



Точки пересечения 
Выполним построение

Рис. 20
Контрольные вопросы
1. Записать каноническое уравнение окружности и ее основные характеристики.
2. Записать каноническое уравнение эллипса и перечислить его характеристики.
3. Записать каноническое уравнение гиперболы и назвать ее характеристики.
4. Записать каноническое уравнение параболы.
5. Знать схему исследования кривых второго порядка.
Дата добавления: 2015-08-11; просмотров: 9031;
