Взаимное расположение прямой и плоскости в пространстве.
Возьмем в пространстве плоскость α с уравнением
,
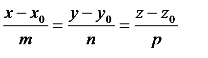
N= (A, B, C), и прямую а с уравнением
, l= (m; n; p).
Возможны следующие случаи расположения:
1) Прямая ^ плоскости.
N║l:
- условие перпендикулярности прямой и плоскости.
2) Прямая ║ плоскости.
N ^ l. N•l = 0: Am + Bn + Cp= 0 - условие параллельности прямой и плоскости.
3) Прямая лежит в плоскости.
N ^ l, т. М0 на прямой Є плоскости.
N•l = 0, координаты т. М0 удовлетворяют уравнению плоскости.
- условие принадлежности прямой к плоскости.
4) Угол между прямой и плоскостью - это угол между прямой и ее проекцией на плоскость.
;
.
- угол между прямой и плоскостью в пространстве.
Дата добавления: 2015-08-11; просмотров: 1221;
