Взаимное расположение прямых в пространстве.
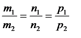
1) Прямая (1) c направляющим вектором l1= (m1, n1, p1) ║ прямой (2) c направляющим вектором l2=(m2, n2, p2).
| l2 |
| l1 |
| |
l1 ║ l2. Отсюда следует, что
- условие параллельности двух прямых в пространстве.
2) Прямая (1) ^ прямой (2).
| l2 |
| l1 |
l1 ^ l2. Отсюда следует: l1• l2=0.
- условие перпендикулярности двух прямых в пространстве.
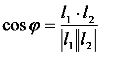
3) Угол между двумя прямыми - это угол между их направляющими векторами.
| φ |
| l1 |
| l2 |
- угол между прямыми.
Дата добавления: 2015-08-11; просмотров: 810;
