Взаимное расположение прямых на плоскости.
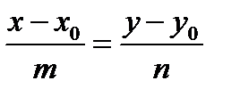
Каноническое уравнение
| Общее уравнение Ax+ By+ C= 0 | Уравнение с угловым коэффициентом y= kx+ b |
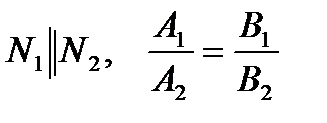
| Параллельность | ||
|
|
|
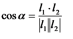
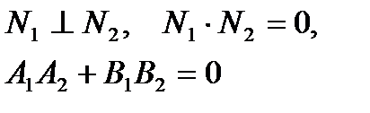
| Перпендикулярность | ||
|
|
|
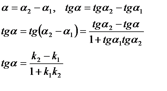
| Угол между прямыми | ||
|
|
|
Кривые второго порядка.
Общее уравнение
. Будем рассматривать окружность, эллипс, гиперболу, параболу.
Дата добавления: 2015-08-11; просмотров: 733;
