Гипербола.
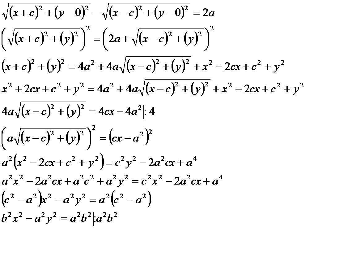
Определение: Гиперболой называют множество точек плоскости, разность расстояний от каждой из которых до двух заданных точек (фокусов) есть величина постоянная, равная 2а, меньшая, чем расстояние между фокусами, но больше 0.
Расположим гиперболу так, чтобы фокусы находились на оси ОХ на одинаковом расстоянии от начала координат.
│F1F2│=2c.
| y |
| c |
| -c |
| F2 |
| F1 |
| M(x, y) |
| x |
F1 (-c, 0) - левый фокус, F2 (с, 0) - правый фокус.
т. М (х, у)- текущая точка гиперболы.
По определению: │F1 M│-│F2M│=2a.

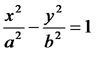
- каноническое уравнение гиперболы.
Исследуем это уравнение:
1) Так как уравнение чётно по х и по у, то гипербола симметрична относительно осей ОХ и ОУ. Следовательно, построим ее в первой четверти и сделаем симметрию относительно осей координат.
Выразим из уравнения у:

Так как x2- a2 ≥ 0, тогда (х-а) (х+а) ≥ 0.
| + |
| + |
| - |
| -а |
| а |
| х |

2) При x= a: y= 0. При возрастании х, увеличивается у. При х
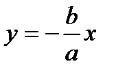
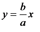
гипербола стремится к прямой
.
|
|
| c |
| F2 |
| F1 |
| a |
| A |
| -a |
| B |
| b |
| b |
| x |
| y |
| -c |
т. А (а, 0) - правая вершина гиперболы, т. В (-а, 0) - левая вершина.
- асимптота.
- осевой прямоугольник.
[0, а] - на ОХ действительная полуось гиперболы.
[0, b] - на ОУ мнимая полуось.
с - фокусное расстояние.
с2= а2+ b2 - соотношение для гиперболы.
Мера сжатия эксцентриситет
. Так как а < с, отсюда следует, что ε> 1.
Дата добавления: 2015-08-11; просмотров: 818;
