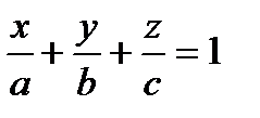
Уравнение плоскости в отрезках.
Пусть плоскость отсекает на координатных осях отрезки a – на оси ОХ, b – на оси ОУ, с – на оси OZ.
Тогда т. А (а, 0, 0), т. В (0, b, 0), т. C (0, 0, c) Є плоскости.
Тогда вектора AM (x- a, y, z), AB(-a, b, 0), AC(-a, 0, c) компланарны. Отсюда следует, что AM·AB·AC= 0.
.

bc (x-a)+ acy+ abz= 0,
bcx+ acy+ abz= bac │: abc,
- уравнение плоскости в отрезках.
Дата добавления: 2015-08-11; просмотров: 742;
