Уравнения Лагранжа
Для определения уравнений движения в обобщенных координатах обратимся к общему уравнению динамики:
.
Пусть система имеет k степеней свободы. Тогда
,
.
Подставляя в общее уравнение динамики, получим:

или
,
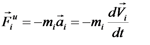
где
– обобщенные силы инерции, которые равны
.
Так как
, то
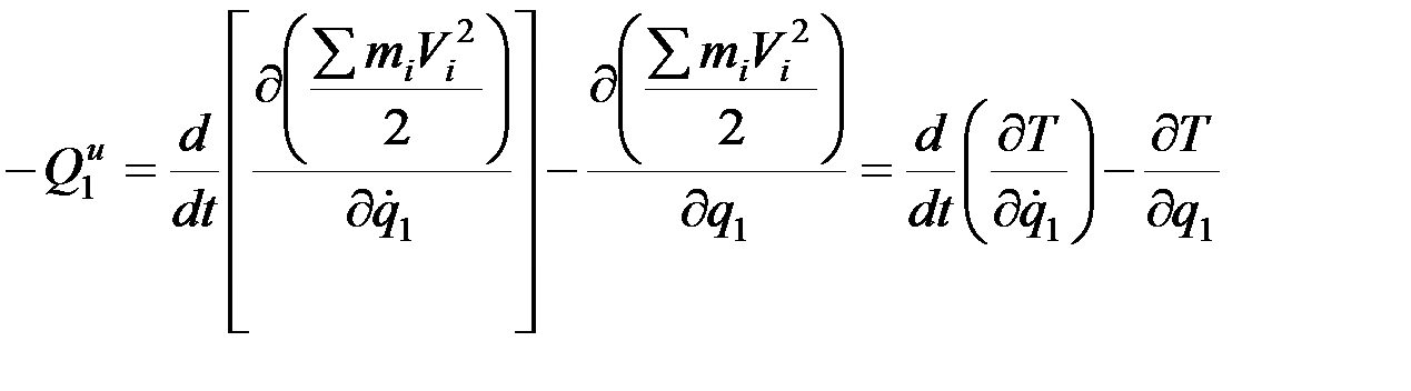
(1)
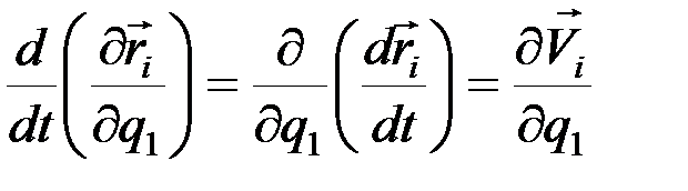
Выразим обобщенную силу через кинетическую энергию. Имеем
, (2)
так как 
Заметим, что
,
.
Подставим полученные выражения в уравнение (2):
.
Тогда уравнение (1) примет вид:
,
где Т – кинетическая энергия.
Аналогичные выражения получаем для всех остальных обобщенных координат. Поскольку
, то

Это дифференциальные уравнения движения системы в обобщенных координатах или уравнения Лагранжа II-го рода (уравнения в частных производных). Число этих уравнений равно числу степеней свободы системы.
Основные преимущества использования уравнений Лагранжа при решении задач:
1) количество уравнений не зависит от количества тел, входящих в систему;
2) данный способ позволяет исключить из рассмотрения все неизвестные реакции связей.
Пример.Механизм робота-манипулятора состоит из колонны для вертикального перемещения, устройства для горизонтального перемещения, состоящего из звеньев 1 и 2, и выдвигающейся горизонтальной руки со схватом 3. Массы звеньев механизма т1, т2и т3. Движущие силы, создаваемые приводами в поступательных парах, равны соответственно F01, F12 и F23. Составить дифференциальные уравнения движения механизма. Трением пренебречь.
Решение.
Рассматриваемая механическая система имеет три степени свободы. Выберем обобщенные координаты:
, тогда обобщенные скорости выразятся как 
Вычислим кинетическую энергию системы. Т.к. звенья 1, 2 и 3 двигаются поступательно, то
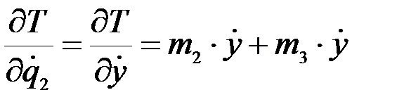
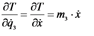
Вычислим частные производные от кинетической энергии:
;
;
,
;
;
.
Далее, дифференцируя по времени, получим:

Для определения обобщенной силы
сообщим системе перемещение
. При этом работу совершит движущая сила
, направленная вверх, и силы тяжести всех 3-х звеньев:
.
Многочлен, стоящий в квадратных скобках, является обобщенной силой:
.
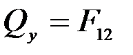
Аналогично вычислим обобщенные силы
и
:
, тогда
.
Силы тяжести не совершают работу, т.к. движение вдоль оси y происходит по горизонтали, поэтому
,
откуда
.
Запишем полученные дифференциальные уравнения движения:

Дата добавления: 2015-08-08; просмотров: 829;
