Экспериментальное определение коэффициента восстановления
Величина k определяется экспериментально. Рассмотрим, например, шар, свободно падающий на плиту с предварительно измеренной высоты Н. Определим высоту его подъема h после удара.
Тогда по формуле Галилея
, а
и, следовательно,
.
Для некоторых материалов значения коэффициента восстановления (при скоростях соударения порядка 3 м/сек)составляют: дерево о дерево – 0,5, сталь о сталь – 0,56, слоновая кость о слоновую кость – 0,89, стекло о стекло – 0,94.
Прямой центральный удар двух тел (удар шаров)
При соударении двух тел удар называется прямым и центральным, если общая нормаль к поверхностям тел в точке касания проходит через их центры масс и если скорости центров масс в начале удара направлены по этой общей нормали. Таким, в частности, будет удар двух однородных шаров, центры которых до удара движутся вдоль одной и той же прямой. В противном случае удар называется косым.
Обозначим массы соударяющихся тел т1 и т2, скорости их центров масс в начале удара V1 и V2, а в конце удара – u1 и u2. Проведем через центры масс C1 и С2 координатную ось х, направленную всегда от C1 к С2 . Тогда, чтобы произошел удар, должно быть выполнено условие
(иначе первое тело не догонит второе). Кроме того, должно выполняться условие
, так как ударившее тело не может опередить ударяемое. Легко проверить, что эти неравенства выполняются и в случаях, когда оба тела движутся влево или навстречу друг другу.
Считая m1, т2,
и k известными, найдем
. Для этого применим теорему об изменении количества движения к соударяющимся телам, рассматривая их как одну систему. Тогда ударные силы, действующие между телами, будут внутренними, и имеет место выражение
.
В результате первое из уравнений (4) дает
.
Второе уравнение найдем из выражения для коэффициента восстановления. При соударении двух тел интенсивность удара (ударный импульс) зависит не от абсолютного значения скорости каждого из тел, а от того, насколько скорость ударяющегося тела больше скорости тела ударяемого, т. е. от разности
(скорости сближения). Поэтому при ударе двух тел, если учесть, что всегда
, а
,получим:
(6)
или
. (7)
Уравнение (7) позволяет решить поставленную задачу. Ударный импульс, действующий на соударяющиеся тела, найдем, составив уравнение для какого-нибудь одного из тел, например, для первого:
.
Последнее равенство следует из третьего закона Ньютона.
Рассмотрим два предельных случая.
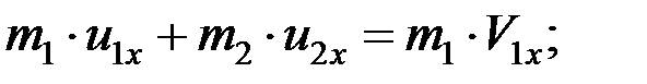
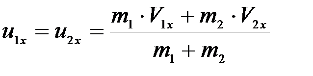
Абсолютно неупругий удар (k = 0). В этом случае из уравнения (6) находим, что оба тела после удара движутся с одной и той же скоростью:
.
Действующий на тело ударный импульс при этом равен
.
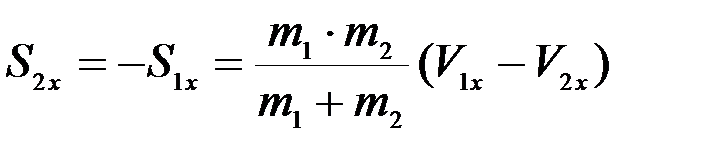
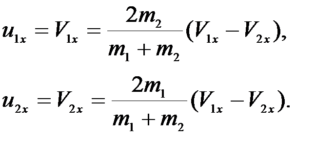
Абсолютно упругий удар (k = 1). В этом случае будем иметь:
Действующий на тело ударный импульс при этом равен
.
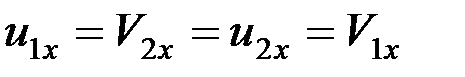
Как видим, при абсолютно упругом ударе ударный импульс вдвое больше, чем при абсолютно неупругом. В частном случае, когда т1 = т2 = т, получаем
.
Таким образом, два тела одинаковой массы при абсолютно упругом ударе обмениваются скоростями.
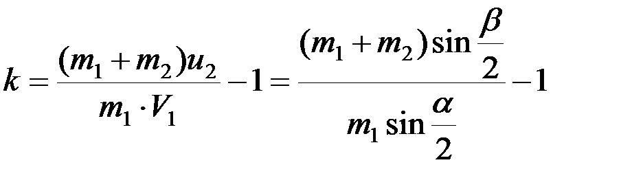
Пример.Два шара с массами т1 и т2 подвешены так, как показано на рисунке. Первый шар отклоняют от вертикали на угол a и отпускают без начальной скорости. После удара второй шар отклоняется на угол b. Найти коэффициент восстановления для шаров при ударе.
Решение.
По данным задачи можно определить скорость V1 центра первого шара в начале удара и скорость V2центра второго шара в конце удара. По теореме об изменении кинетической энергии (на перемещении первого шара) находим:
,
где
– расстояние центра шара от точки подвеса.
Отсюда
.
Аналогично находим, что
.
Вследствие того, что в нашем случае V2 = 0, имеем:
.
Исключая из этих уравнений u1x и замечая, что
, а
, получим:
.
Отсюда окончательно находим:
.
Дата добавления: 2015-08-08; просмотров: 1995;
