Условие равновесия системы в обобщенных силах
Согласно принципу возможных перемещений, необходимым и достаточным условием является равенство нулю суммы элементарных работ всех активных сил на любом возможном перемещении системы
, тогда
.
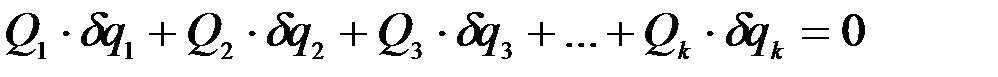
Так как обобщенные координаты
не зависят друг от друга, то равенство выполнимо только в том случае, если каждое слагаемое равно нулю, т.е.
.
Для равновесия механической системы необходимо и достаточно, чтобы все обобщенные силы, соответствующие выбранным для системы обобщенным координатам, были равны нулю.
Дата добавления: 2015-08-08; просмотров: 675;
