Примеры вычисления работы
1. Работа силы тяжести.Пусть точка М под действием силы тяжести перемещается из положения М0 в положение М1.
Если М0 выше М1, то z0 – z1 = h, где h – вертикальное перемещение точки, если точка перемещается вверх, то z0 – z1 = – h, следовательно,
.
Работа силы тяжести не зависит от траектории движения точки, т.е. сила тяжести является потенциальной.
2. Работа силы упругости.Рассмотрим груз М, лежащий на плоскости и прикрепленный к свободному концу пружины.
Обозначим:
– длина свободной пружины,
– длина растянутой пружины,
– удлинение пружины.
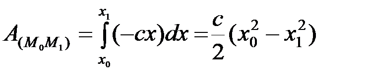
Т.к.
, a
(по закону Гука), то
.
Этот же результат можно получить графически.
Работа силы упругости равна половине произведения коэффициента жесткости на разность квадратов начального и конечного удлинений.
Формула справедлива и тогда, когда перемещение груза не является прямолинейным, т.е. не зависит от траектории, следовательно, сила упругости тоже является потенциальной.
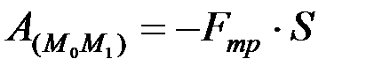
3. Работа силы трения.Пусть точка движется по шероховатой поверхности по кривой М0 М1. Известен коэффициент трения ¦тр.
Поскольку
,
где N – нормальная реакция поверхности, то

Если сила трения постоянна, то
,
где S – длина дуги кривой.
Таким образом, работа силы трения скольжения всегда отрицательна. Т.к. сила трения зависит от длины дуги (от траектории), то является непотенциальной.
Дата добавления: 2015-08-08; просмотров: 688;
