Лекция 12 ТЕОРЕМА ОБ ИЗМЕНЕНИИ КИНЕТИЧЕСКОЙ ЭНЕРГИИ
Работа и мощность. Потенциальная энергия. Кинетическая энергия
Для характеристики действия, оказываемого силой на тело при его перемещении, существует понятие о работе силы. Элементарной работой силы F, приложенной в точке М, называется скалярная величина dA = Ft·dS,
где Ft – проекция силы на касательную к траектории (направление скорости): Ft = Fcos a,
тогда dA = F·dscos a.
При остром угле a работа положительна (сила помогает движению); если a – тупой, работа отрицательна (мешает движению); при a = 90° работа равна нулю (не влияет на движение).
Если учесть, что dS =
, где
– вектор элементарного перемещения точки, то элементарная работа равна скалярному произведению двух векторов:
.
Элементарная работа силы равна скалярному произведению вектора силы на вектор элементарного перемещения точки её приложения.
Т.к. rx = x, ry = y, rz = z, то аналитическое выражение работы:
.
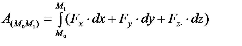
Работа на любом перемещении – это предел интегрируемой суммы:
,
.
В этих выражениях интеграл вычисляется вдоль кривой М0, М1.
Если величина
, то
.
Единица измерения работы – 1 Джоуль = 1 Н×м.
Дата добавления: 2015-08-08; просмотров: 661;
