Кинетическая энергия системы
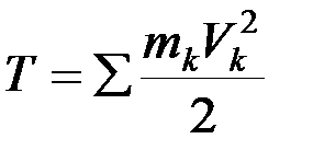
Кинетической энергией системы называется скалярная величина, равная сумме кинетических энергий всех точек системы:
.
Вычислим кинетическую энергию при различных видах движения твердого тела.
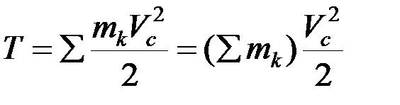
Поступательное движение.В этом случае все точки движутся с одинаковыми скоростями, равными скорости центра масс –
:
,
следовательно,
.
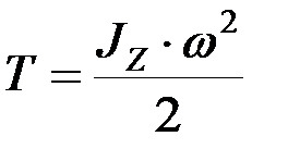
Вращательное движение.Пусть тело вращается относительно оси Оz с угловой скоростью w, тогда:
,
где
– расстояние от точки до оси вращения, w – угловая скорость. Тогда
,
следовательно,
.
Плоскопараллельное движение.При этом движении все точки тела совершают вращательное движение вокруг оси, проходящей через мгновенный центр скоростей, следовательно
,
где
– момент инерции тела относительно оси, проходящей через МЦС.
– величина переменная, т.к. положение мгновенного центра скоростей (точки Р) в каждый момент времени меняется. Выразим
через
(момент инерции относительно параллельной оси, проходящей через центр масс). По теореме Гюйгенса,
,
где d = PC, тогда w d = w PC = VС,
.
При плоскопараллельном движении кинетическая энергия тела равна энергии поступательного движения со скоростью центра масс, сложенной с кинетической энергией вращательного движения вокруг центра масс.
Эта теорема является частным случаем более общей теоремы, доказанной Кенигом (1751 г.).
Дата добавления: 2015-08-08; просмотров: 1049;
