Формулировка теоремы Гаусса
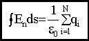
| Из (9.4.2.4) и (9.4.2.5) следует, что поток вектора напряженности электрического поля через ЛЮБУЮ замкнутую поверхность равен алгебраической сумме зарядов, находящихся внутри этой поверхности, деленной на ε0:
|
Из (9.4.1.3)
, тогда теорема Гаусса запишется так:

9.4.4. Применение теоремы Гаусса для вычисления полей.
Теорема Гаусса:

S - любая замкнутая поверхность,
- сумма зарядов внутри S.
Применяя теорему Гаусса, мы должны:
а) САМИ выбрать конкретную гауссову поверхность S, такую, чтобы интеграл по этой поверхности легко считался. Затем найти
;
б) посчитать сумму зарядов внутри выбранной нами S;
в) приравнять результат полученный в пункте а), к результату, полученному в пункте б), деленному на ε0.
Дата добавления: 2015-08-08; просмотров: 894;
