Поток вектора напряжeнности электрического поля
9.4.1.1. - Поток вектора
для однородного поля
Для 


Здесь
- вектор нормали к поверхности S.
9.4.1.2. Поток вектора
через бесконечно малую площадку в неоднородном поле
| Как и в (9.4.1.1):
|
9.4.1.3. Поток вектора
через произвольную поверхность в неоднородном поле

9.4.1.4. Поток пропорционален числу силовых линий
Ф пропорционален числу линий напряженности, проходящих через площадь S (9.3.3) и (9.3.8)
9.4.2. Поток вектора
через сферу (для поля точечного заряда).
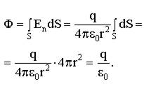
9.4.2.1. Заряд - в центре сферы
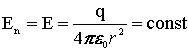
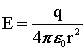
На поверхности сферы поле постоянно по величине (9.3.7.):
.
В любой точке сферы поле направлено перпендикулярно ее поверхности, т.е.
.
| Из (9.4.1.3):
|
Мы получили, что:
.
Дата добавления: 2015-08-08; просмотров: 769;
