Взаимодействие точечных зарядов
9.2.1. Точечный заряд - модель заряженного тела, сохраняющая три его свойства: положение в пространстве, заряд и массу.
Или: точечный заряд - это заряженное тело, размерами которого можно пренебречь.
9.2.2. Закон Кулона
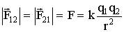
Взаимодействие двух точечных неподвижных зарядов в вакууме описывается законом
Кулона:
.
В системе СИ
,
ε0 = 8.85 ·10-12 Ф/м.
Закон Кулона в системе СИ
.
9.2.3. Единица заряда в системе СИ - кулон Один кулон (1 Кл) определяется через единицу силы тока, см. (10.1).
9.2.4. Принцип суперпозицииутверждает, что сила взаимодействия двух зарядов не изменится, если к ним добавить еще какие либо заряды. Для зарядов на рисунке это значит, что
и
не зависят от присутствия заряда q3,
и
не зависят от присутствия заряда q2, аналогично -
и
не завися от заряда q1.
| Значит, результирующую силу, действующую на любой заряд, можно найти как векторную сумму сил попарного взаимодействия зарядов.
Для заряда q1 результирующая сила
,
аналогично и для остальных зарядов:
|
Дата добавления: 2015-08-08; просмотров: 2836;

,
аналогично и для остальных зарядов: