Преобразование скоростей
Пусть материальная точка движется в системе К со скоростью
.
Система K' движется со скоростью
относительно K.
.
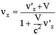
Компоненты скорости материальной точки (3.8.2.):

Т.к.
;
То
;
;
.
Это формулы релятивистского преобразования скоростей, они дают связь между компонентами скорости частицы в различных системах отсчета: в системе K и в движущейся со скоростью V системе K'.
Дата добавления: 2015-08-08; просмотров: 652;
