Вывод преобразований Лоренца
Для вывода преобразований Лоренца рассмотрим в двух системах отсчета мысленный опыт. Одна система К - неподвижна, другая К' движется вдоль оси х со скоростью V. Пусть в момент времени t = t' = 0, когда начала систем координат совпадали, в этом начале произошла вспышка света и стала распространяться сферическая световая волна. В соответствии с постулатом I фронт этой волны будет сферой в обеих системах отсчета, сфера эта будет, в соответствии с постулатом II, увеличивать свой радиус со скоростью света и в той, и в другой системе отсчета.

Опираясь на эти требования, найдем вид правильных преобразований координат и времени. В качестве пробного возьмем преобразование Галилея, а затем его подправим.
Фронт световой волны в системе К - это сфера радиуса ct:
x2 + y2 + z2 = c2t2:
В системе К' уравнение фронта этой волны, в соответствии с постулатами I и II
(x')2+(y')2+(z')2=c2 (t')2,
пробуем преобразования Галилея, переходим в К:
(x')2 = (x - Vt)2,
(y')2 = y2,
(z')2 = z2,
(t')2 = t2,
отсюда следует:
x2 - 2Vxt + V2t2 + y2 + z2 = c2t2,
сравните с
(x')2+(y')2+(z')2 = c2(t')2.
Появились ЛИШНИЕ ЧЛЕНЫ, надо так изменить преобразования, чтобы они исчезли.
Пробуем преобразования:
x' = x- Vt, y'=y, z'=z, t'=t-αx
x2 - 2Vxt + V2t2 + y2 + z2 = c2t2 - 2c2αxt + c2α2x2
приравниваем подчеркнутые члены, получаем:

При таком α остается:

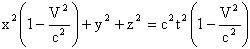
Перегруппируем члены:

Подправим преобразование так, чтобы исчезли выражения в скобках, для этого возьмем

Такие преобразования сохраняют вид уравнения фронта световой волны, сфера преобразуется в сферу, в соответствии с постулатами С.Т.О.
Обозначим, для удобства записи,

тогда преобразования Лоренца запишутся так:
| а) прямые | б) обратные | |
;
| ;
| |
;
| ;
| |
;
| ;
| |
;
| .
|
Релятивистская механика должна быть построена таким образом, чтобы уравнения движения не менялись при переходе из одной инерциальной системы отсчета в другую, т.е. были инвариантны относительно преобразований Лоренца.
Дата добавления: 2015-08-08; просмотров: 1244;

;
;
;
;
;
;
;
.