Поле объемного заряженного шара
- объемная плотность заряда
q- суммарный заряд шара
| Применяя теорему Гаусса (9.4.4.), получим:
|
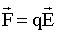
Работа электростатического поля

из (9.3.5).
Из (5.3.2), (5.3.3):
.
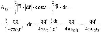
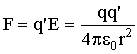
Работа электрического поля точечного заряда
Пусть Е создается точечным зарядом q, тогда из (9.3.7)
;
,
из (5.3.3):
.

Дата добавления: 2015-08-08; просмотров: 977;
