Связь между напряженностью и потенциалом

Заряд q перемещается в электрическом поле на
из точки 1 в точку 2.
Выразим работу по перемещению заряда двумя способами:
а) через напряженность, из (5.3.2), (9.3.5)
,
;
б) через разность потенциалов (9.6.2):
.
Приравнивая, получим:
.
Возьмем
вдоль оси x, тогда:
.
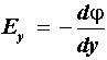
Для
вдоль оси у, имеем:
.
Для
вдоль оси z:
.
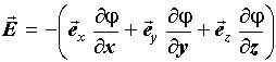
Вектор напряженности:
.
Обозначим
.
Это оператор градиента, или оператор Гамильтона.
Другое название значка
- оператор набла.
Тогда

Напряженность равна (-) градиенту потенциала.
9.8. Эквипотенциальная поверхность(лат. aequus - равный) - поверхность, все точки которой имеют одинаковый потенциал, т.е. 

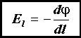
Перемещаем заряд q вдоль эквипотенциальной поверхности:

См. (9.6.2), (9.5)
Дата добавления: 2015-08-08; просмотров: 632;
