Потенциал поля точечного заряда
Из (9.5.1)
.
Из (9.6.2)
.
Значит, потенциал поля, создаваемого точечным зарядом q:
,
здесь мы полагаем, что на бесконечности потенциал φ равен нулю.
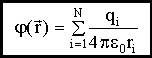
Потенциал поля системы точечных зарядов

В общем случае:
,
здесь qi - алгебраические величины.
Электрон-вольт - внесистемная единица работы
;
|
|
Дата добавления: 2015-08-08; просмотров: 888;
