Поле плоского конденсатора
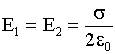
По 9.3.6.
.
Т.к.
, то по 9.4.4.1
.


Поле однородно заряженного бесконечного цилиндра

- линейная плотность заряда.
Применяя теорему Гаусса, получим:
, при r > R.
Поле однородно заряженной сферы
| Применяя теорему Гаусса (9.4.4.) , получим:
при r > R. Если r < R, то E = 0.
|
Дата добавления: 2015-08-08; просмотров: 876;

при r > R. Если r < R, то E = 0.