Связь между потенциалом и напряженностью
Элементарная работа, совершенная при бесконечно малом перемещении заряда qв электрическом поле
и dA= – dU= – d(qφ). Так как q= const, а
, то
(6.9)
где El – проекция вектора
на произвольное направление. В соответствии с формулой (6.9)
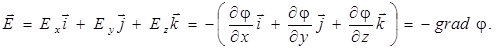
а
(6.10)
Напряженность в какой-либо точке электростатического поля равна градиенту потенциала (см. Приложение) в этой точке, взятому с обратным знаком.
Из выражений (6.2) и (6.4) можно получить интегральную формулу связи
и φ, в которую входят две точки поля:
(6.11)
Дата добавления: 2015-08-08; просмотров: 715;
