Электрические заряды. Закон Кулона
В природе существует два рода электрических зарядов – положительные и отрицательные. На основании ряда опытов было выявлено, что электрический заряд любого тела состоит из целого числа элементарных зарядов, равных 1,6∙10-19 Кл.
В замкнутой системе выполняется закон сохранения электрического заряда, который формулируется следующим образом: алгебраическая сумма электрических зарядов частиц замкнутой системы остается постоянной:
q1 + q2 + … =const.
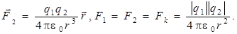
Введение электрического заряда позволило сформулировать закон Кулона: силы, с которыми взаимодействуют два неподвижных точечных заряда в вакууме, прямо пропорциональны произведению их зарядов и обратно пропорциональны квадрату расстояния между ними; силы направлены вдоль прямой, соединяющей эти заряды (рис. 6.1а):
|
(6.1)
Входящая в формулу (6.1) величина ε0 = 8,85∙10-12 Ф/м называется электрической постоянной, она нужна при записи закона в международной системе единиц СИ.
Дата добавления: 2015-08-08; просмотров: 740;
