Релятивистское выражение для энергии
Найдем выражение для кинетической энергии материальной точки в релятивистской механике. Приращение dTкинетической энергии материальной точки при элементарном перемещении
равно работе (
, совершенной при этом перемещении силой
, действующей на точку:

или

поскольку
.
Из основного уравнения релятивистской динамики (5.6) следует, что
.
Поэтому
.
Так как
и
, то
.
С другой стороны, как видно из формулы (5.4),
.
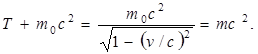
Таким образом, при изменении скорости материальной точки изменение ее кинетической энергии и массы пропорциональны друг другу:
(5.7)
Интегрирование полученного соотношения дает

При v= 0, m= m0 и Т= 0. Отсюда для константы получается значение, равное – m0c2. Следовательно, релятивистское выражение для кинетической энергии частицы имеет вид
(5.8)
В случае малых скоростей (v<< c) формулу (5.8) можно преобразовать следующим образом:

Мы пришли к ньютоновскому выражению для кинетической энергии частицы. Этого и следовало ожидать, поскольку при скоростях, много меньше скорости света, все формулы релятивистской механики должны переходить в соответствующие формулы ньютоновской механики.
Перепишем формулу (5.8) в следующем виде:

Анализируя это соотношение, Эйнштейн предположил, что полная энергия тела должна складываться из энергии его движения (кинетической) и энергии покоящегося тела (внутренней). Поэтому он отождествил второе слагаемое в этой формуле с внутренней энергией тела и назвал ее энергией покоя Е0, а сумму (Т + m0c2) – полной энергией тела Е:
Е0 = m0c2; Е = mc2 . (5.9)
Нужно отметить, что энергия покоя и полная энергия не включают в себя потенциальной энергии тела во внешних полях.
Из выражений для импульса (5.5) и энергии (5.9) можно получить полезные формулы связи между ними:
; 
В классической физике

Лекция 6
Дата добавления: 2015-08-08; просмотров: 854;
