Следствия из преобразований Лоренца. Одновременность событий в разных системах отсчета.Пусть в системе К в точках с координатами х1 и х2 происходят одновременно два события в момент времени t1 =
Одновременность событий в разных системах отсчета.Пусть в системе К в точках с координатами х1 и х2 происходят одновременно два события в момент времени t1 = t2 = b. В соответствии с преобразованиями Лоренца в системе К' этим событиям будут соответствовать моменты времени
.
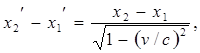
Из данных формул видно, что в случае, если события в системе К пространственно разобщены (х1 ≠ х2), то в системе К' они не будут одновременными (t1' ≠ t2'). Знак разности t2' – t1' определяется знаком выражения (β/c)(x1 – x2); следовательно, в разных системах К' (при разных β) разность t2' – t1' будет различна по величине и может отличаться по знаку. Это означает, что в одних системах событие 1 будет предшествовать событию 2, в других системах, наоборот, событие 2 будет предшествовать событию 1. Заметим, что сказанное относится лишь к событиям, между которыми отсутствует причинная связь.
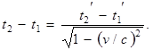
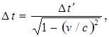
Продолжительность явления.Пусть в одной и той же точке с координатой х' = асистемы К' происходит явление, которое начнется в момент времени t1' и закончится в момент времени t2'. Согласно преобразований Лоренца этим событиям соответствуют в системе К моменты времени
Отсюда

Введя обозначение t2 – t1 = ∆t и t2' – t1' = ∆t', получим формулу
(5.1)
которая связывает промежутки времени между двумя событиями, измеренные в системах К и К'. Допустим, что оба события происходят с одной и той же частицей, которая покоится в системе К' и движется относительно системы К со скоростью v. Тогда ∆t'можно трактовать как промежуток времени, измеренный по часам, неподвижным относительно частицы, или, иными словами, измеренный по часам, движущимся вместе с частицей. Время, отсчитанное по часам, движущимся вместе с телом, называется собственное время этого тела и обозначается буквой τ. Таким образом, ∆t' = τ.С учетом этого формуле (5.1) можно придать вид
(5.2)
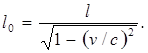
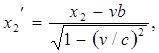
Длина тел в разных системах.Рассмотрим стержень, расположенный вдоль оси х'и покоящийся относительно системы отсчета К' (рис. 5.1). Длина его в этой системе l0 = x2'- x1', где х1' и х2' – не изменяющиеся со временем t' координаты концов стержня. Относительно системы К стержень движется со скоростью v. Для определения его длины в этой системе нужно отметить координаты концов стержня х1 и х2 в один и тот же момент времени t1= t2 = b. Их разность l = x2 – x1 дает длину стержня, измеренную в системе К. Чтобы найти соотношения между l0 и l, следует взять ту из формул преобразований Лоренца, которая содержит х', х и t.
|
откуда
или
(5.3)
Таким образом, длина стержня l, измеренная в системе отсчета, относительно которой он движется, оказывается меньше длины l0, измеренной в системе, относительно которой стержень покоится.
Заметим, что в направлении осей yи zразмеры стержня одинаковы во всех системах отсчета. Итак, у движущихся тел размеры их в направлении движения сокращаются тем больше, чем больше скорость движения. Это явление называют лоренцевым сокращением.
Дата добавления: 2015-08-08; просмотров: 903;
