Все физические явления протекают одинаково во всех ИСО;
4) все законы физики инвариантны относительно преобразований Лоренца.
Согласно второму постулату специальной теории относительности скорость света в вакууме одинакова во всех ИСО и не зависит от движения источника и приемника света.
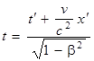
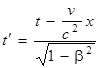
С помощью постулатов Эйнштейна можно показать, что координаты и время в разных системах отсчета связаны следующими соотношениями:
Переход из К' в К: Переход из К в К':

y = y' y' = y
z = z' z' = z
,
где β= v/c– относительная скорость. Записанные соотношения называют преобразованиями Лоренца. Преобразования Лоренца – это более общие, по отношению к преобразованиям Галилея, преобразования. Преобразования Лоренца справедливы для любых скоростей движения, а преобразования Галилея только для малых (v<< c).
Лекция 5
Дата добавления: 2015-08-08; просмотров: 812;
