Релятивистский закон сложения скоростей. Пусть вдоль совпадающих осей Ох и О'х' систем отсчета К и К' в их положительном направлении с постоянной скоростью движется тело
Пусть вдоль совпадающих осей Ох и О'х' систем отсчета К и К' в их положительном направлении с постоянной скоростью движется тело. Проекция вектора скорости тела на координатные оси в СОК и К' соответственно равны:
СОК': u' = u'x = dx'/dt', u'y = 0, u'z = 0;
СОК: u= ux = dx/dt, uy = 0, uz = 0.
Необходимо найти формулы связи между uи u'; в данном случае между ux и u'x. Для этого в преобразованиях Лоренца возьмем бесконечно малые приращения координат и времени:


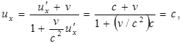
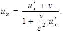
Итак,
(5.4)
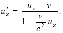
Аналогично можно получить обратную формулу связи
(5.5)
Формулы (5.4) и (5.5) представляют собой закон сложения скоростей в релятивистской механике. При малых скоростях движения тел (v<< c) эти формулы переходят в закон сложения скоростей классической механики.
Из закона сложения скоростей следует, что скорость движения тел не может быть больше скорости света в вакууме. Приведем в подтверждение этому факту пример.
Пусть световой сигнал в СОК' распространяется вдоль оси О'х', т. е. u' х = с. Тогда согласно формуле (5.4)

Что и должно было получиться.
Дата добавления: 2015-08-08; просмотров: 697;
