ГРУППА ВЕЩЕСТВ, ИЗОЛИРУЕМЫХ ИЗ БИОЛОГИЧЕСКОГО МАТЕРИАЛА ЭКСТРАКЦИЕЙ И СОРБЦИЕЙ 1 страница
(ЛЕКАРСТВЕННЫЕ И НАРКОТИЧЕСКИЕ ВЕЩЕСТВА)
В главе рассмотрена общая характеристика группы, номенклатура и классификация веществ, относящихся к данной группе.
Рассмотрены методы изолирование лекарственных соединений из биологических объектов; факторы, определяющие эффективность выделения токсических веществ из биологических объектов; способы и методы очистки извлечений и экстрактов.
Рассмотрены методы изолирования данных веществ при проведении общего (ненаправленного) анализа (изолирование подкисленным этанолом (метод Стаса – Отто); изолирование водой, подкисленной щавелевой кислотой (метод Васильевой); изолирование нейтральным ацетоном (метод Карташова В.А.); твердофазная экстракция)), а также частные методы изолирования веществ кислотного характера (Метод Е. Грусц-Харди – изолирование смесью спирта и хлороформа; изолирование барбитуратов подщелоченной водой (метод П. Валова), метод изолирования алкалоидов водой, подкисленной серной кислотой (по В.Ф. Крамаренко), исследование биологических жидкостей (жидкость – жидкостная экстракция).
Оговорены достоинства и недостатки вышеперечисленных методов.
Рассмотрен аналитический скрининг лекарственных веществ, имеющих токсикологическое значение: хроматографические и скрининговые методы (тонкослойная хроматография (ТСХ); высокоэффективная тонкослойная хроматография (ВЭТСХ), спектральные скрининговые методы); абсорбционная спектроскопия; иммунохимические методы в скрининге лекарственных веществ; иммунохимический анализ (ИХА).
Показано определение и токсикологическое значение некоторых веществ, экстрагируемых из кислых водных растворов (барбитураты, салициловая кислота, антипирин, амидопирин, кофеин, теобромин, теофиллин).
Показано определение и токсикологическое значение некоторых алкалоидов (атропин, скополамин, кокаин, новокаин, дикаин, платифиллин, хинин, резерпин, стрихнин, морфин, кодеин, этилморфин, апоморфин, промедол, папаверин, но – шпа (дротаверин), наркотин, кониин, ареколин, никотин, анабазин, вератрин, эфедрин, производные фенотиазана, производные 1,4 – бензодиазепина. Типы основных реакций, химизм. Пределы обнаружения и специфичность.
Особенное значение в данной главе уделено аналитической диагностики наркотических и других одурманивающих веществ. Дана классификация веществ, вызывающих одурманивание. Показаны особенности химико-токсикологического анализа на содержание одурманивающих средств; экспрессное тестирование наркотических и одурманивающих веществ; интерпретация результатов анализа биологических объектов на содержание веществ, вызывающих одурманивание. Показаны правила отбора проб на обнаружение наркотических средств, психотропных и других токсических веществ.
5.1.ОБЩАЯ ХАРАКТЕРИСТИКА ГРУППЫ. НОМЕНКЛАТУРА И КЛАССИФИКАЦИЯ ВЕЩЕСТВ
Группа веществ, изолируемых из объектов экстракцией и сорбцией, включает в себя органические вещества различной химической структуры, прежде всего, наркотики, лекарственные средства и пестициды.
Широко используемые в медицине, сельском хозяйстве и в обыденной жизни (как средства одурманивания) алкалоиды, синтетические вещества кислого, слабоосновного и основного характера часто становятся предметом поиска в химико–токсикологическом исследовании.
К группе веществ, изолируемых из биологического материала экстракцией и сорбцией (их ещё называют «нелетучие» яды), относятся соединения кислотного, нейтрального и основного характера, различные по своему химическому строению. Номенклатура их очень велика и постоянно расширяется по мере синтеза новых соединений. Наибольшее токсикологическое значение в настоящее время имеют:
Вещества кислотного характера:
1. Органические кислоты: бензойная, салициловая, ацетилсалициловая, пикриновая.
2. Барбитураты: барбитал, фенобарбитал, барбамил, этаминал–Na, бутобарбитал, гексенал, бензонал, бензобамил, циклобарбитал и др.
Вещества нейтрального характера:
1. Небарбитуровые снотворные: ноксирон, тетридин.
2. Сердечные гликозиды.
3. Многоатомные фенолы: гидрохинон, пирогаллол.
4. Полинитропроизводные: м–динитробензол, динитротолуолы, тринитротолуол.
5. Производные анилина и п–аминофенола: фенацетин, п–фенилендиамин.
Вещества основного характера:
1. Алкалоиды: производные пиридина и пиперидина (жидкие алкалоиды); тропана (атропин, кокаин и др.); хинолина (хинин); изохинолина (опийные); индола (стрихнин, бруцин, резерпин); пурина (кофеин, теобромин, теофиллин); пирролизидина (платифиллин, саррацин); ациклические (эфедрин); стероидоподобные (вератрин); неустановленного строения (аконитин).
2. Синтетические вещества основного характера: производные пиразола (антипирин, амидопирин); производное пиперидина (промедол); производные аминокислот ароматического ряда (новокаин и дикаин); изониазид; производные фенотиазина (аминазин и др.); производные бензодиазепина и т.д.
При полном (общем, ненаправленном) судебно-химическом анализе обязательному исследованию в лабораториях БСМЭ подлежат, согласно Приказа МЗ СССР № 1021 от 25.12.73, следующие вещества:
Из веществ кислотного характера - производные барбитуровой кислоты.
Из веществ основного характера - алкалоиды: производные пиридина и пиперидина (никотин, пахикарпин), тропана, изохинолина (опийные алкалоиды), индола (стрихнин), производные фенотиазина, промедол.
5.2. МЕТОДЫ ИЗОЛИРОВАНИЯ ВЕЩЕСТВ И ИХ ТЕОРЕТИЧЕСКИЕ ОСНОВЫ
Большинство «нелетучих» ядов, являясь слабыми кислотами или слабыми основаниями, способны существовать в водном растворе в виде ионизированных или неионизированных (молекулярных) форм в зависимости от рН среды. Степень ионизации вещества (слабой кислоты или слабого основания) и необходимое для этого значение рН могут быть определены из уравнения степени ионизации (уравнение Гендерсона):

для кислот

для оснований
где рКa – показатель ионизации вещества (– lgK), численно равный значению рН, при котором в растворе в равновесной концентрации присутствуют ионизированная и неионизированная (молекулярная) формы (т.е. вещество ионизировано на 50 %). Эта величина постоянная для данного вещества.
Для большинства слабых кислот и слабых оснований рКа приведены в монографии Альберта и Сержента «Константы ионизации кислот и оснований». Сильные кислоты (НNОз и др.) и сильные основания (NaOH) ионизированы на 100 % в широком интервале рН.
На основании уравнения Гендерсона, зная рН раствора, всегда можно вычислить степень ионизации вещества и, наоборот, если необходимо достичь определённой степени ионизации, всегда можно рассчитать необходимое для этого значение рН.
Степень ионизации вещества всегда приходится учитывать при изолировании ядов из биологического материала, так как растворимость ионизированных и неионизированных форм различна в воде и органических растворителях.
Ионизированные формы, которым соответствуют соли кислот и оснований, как правило, хорошо растворимы в воде и ограниченно растворимы в неполярных органических растворителях (хлороформ и эфир).
Неионизированные (молекулярные) формы, которым соответствуют свободная кислота и основание, наоборот, хорошо растворимы в неполярных растворителях и ограниченно растворимы в воде.
Пользуясь различной растворимостью ионизированных и молекулярных форм «нелетучих» ядов в воде и органических растворителях легко сформулировать принцип их изолирования, из биологического материала.
Изолирование «нелетучих» ядов из биологического материала основано на различной растворимости их ионизированной и молекулярной форм в воде и органических растворителях и на коэффициенте распределения молекулярной формы между водной и органической фазами.

где :
Кр – коэффициент распределения молекулярной формы;
Со и Св – концентрации вещества в водной и органической фазах соответственно.
Очевидно, что, чем больше Кр, тем эффективнее идет экстракция.
В процессе изолирования «нелетучих» ядов из биологического материала взаимодействуют 3 компонента: яд, биологический материал и экстрагент.
При исследовании тканевого материала (внутренние органы трупа) изолирование состоит из двух стадий: извлечение яда из твердой фазы (объект) в водную, и извлечение яда из водной фазы в органический растворитель.
Схематично это может быть представлено следующим образом:
I стадия экстракции II стадия экстракции

В лабораторных условиях экстракцию обычно проводят с помощью делительной воронки. В воронку помещают исследуемый раствор, содержащий растворенное вещество, подлежащее экстрагированию, и не смешивающийся с водой органический растворитель, которым извлекается экстрагируемое вещество из водного раствора. Воронка энергично встряхивается (обычно 2-5 мин). При этом обе жидкие фазы диспергируются друг в друга, образуя капли различного размера. Экстрагируемое вещество через границу раздела водной и органической фаз переходит из водной фазы в органическую до тех пор, пока в системе не наступит межфазное равновесие, при котором достигаются равновесные концентрации экстрагируемого вещества в водной и в органической фазах. При достижении межфазного равновесия скорость перехода растворенного вещества из водной фазы в органическую становится равной скорости перехода того же вещества из органической фазы в водную, т.е. осуществляется состояние динамического равновесия. После прекращения встряхивания обе жидкие фазы расслаиваются, причем тем быстрее, чем больше разница в плотности воды (водного раствора) и применяемого органического растворителя, плотность которого может быть как выше, так и ниже плотности воды.
При исследовании биологических жидкостей (кровь, моча, промывные воды) необходимость в первой стадии изолирования отпадает и сразу проводится экстракция в органический растворитель.
5.2.1. Факторы, влияющие на эффективность изолирования «нелетучих» ядов из биоматериала
Эффективность изолирования веществ на I и II стадиях определяется рядом факторов.
На первой стадии на эффективность изолирования вещества будут влиять такие факторы, как:
1. Растворимость яда в используемом экстрагенте.
Поскольку на первой стадии используются полярные растворители (вода), яд должен находиться в водорастворимом (ионизированном) состоянии, т.е. кислоты и основания должны присутствовать в виде своих солей, а степень ионизации а > 100 %.
Необходимое для этого значение рН может быть рассчитано из уравнения степени ионизации Гендерсона. На практике пользуются более простым правилом. Для того, чтобы полностью перевести вещество в ионизированное состояние, необходимо создать
рН = рКа + 2 (3) – для кислот и рН = рКа – 2 (3) – для оснований.
Отсюда очевидно, что для переведения кислот в ионизированное состояние (т.е. в их соли) нужна щелочная реакция среды. Так, если для барбитуратов рКа = 7 – 8, то
рН = рКа + 2 (3) = (7 – 8) + 2 (3) = 10 и выше.
Для оснований же требуется кислая реакция среды. Так, для атропина
рК = рКа – 2 (3) = 9,6 – 3 = 6,6.
Слабоосновные алкалоиды полностью ионизированы уже в сильно кислой среде, например, для кофеина рН = 2,0 (рКа = 4,0).
Кислая реакция среды (рН = 2) приводит, кроме того, к разрушению комплексов алкалоидов с белками, в виде которых они находятся в биологическом материале, что увеличивает выход алкалоидов. Влияние рН на эффективность изолирования «нелетучих» ядов особенно выражено при использовании в качестве экстрагента воды, т.к. этанол в большинстве случаев является хорошим растворителем и для ионизированной, и для молекулярной форм кислот и оснований.
2. Экстрагент
Кроме реакции среды, на степень изолирования в значительной мере влияет природа экстрагента, его количество, время и кратность экстракции.
К экстрагенту предъявляются следующие основные требования:
· способность легко проникать в клетки тканей;
· высокая растворяющая способность (по отношению к яду);
· селективность (по отношению к анализируемым соединениям). Селективный растворитель в какой-то мере исключает загрязнение вытяжки балластными веществами – жирами, белками, пигментами и другими.
Растворители, которые обладали бы всеми этими свойствами в полной мере, встречаются редко. В химико-токсикологическом анализе наиболее часто используются следующие растворители: диэтиловый эфир, хлороформ, бензол, н-амилацетат, этилацетат, н-бутиловый, изоамиловый, изобутиловый спирты, н-гексан, н-гептан.
В большей мере этим требованиям отвечает вода, несколько в меньшей степени – этиловый спирт, который является почти универсальным растворителем для лекарственных веществ. Основным недостатком этанола является способность экстрагировать совместно с анализируемыми веществами нормальные компоненты биоматериала (белки, жиры, пигменты), что усложняет анализ, приводя к дополнительным методам очистки и потерям значительных количеств искомых веществ.
Количество экстрагента обычно берётся вдвое больше по отношению к весу органов (1 : 2). Большие количества экстрагента, хотя и увеличивают эффективность экстракции, приводят к разбавлению извлечения и усложнению последующих операций, связанных с концентрированием веществ в извлечении.
Время экстракции определяется моментом наступления равновесия в концентрациях вещества между твёрдой и жидкой фазами, что устанавливается экспериментально (по прекращению прироста концентрации вещества в экстрагенте). Для воды оно меньше (около 2 часов) по сравнению с этанолом (более 4 – 6 часов).
Кратность экстракции приводит к увеличению выхода вещества за счёт поступления новых порций растворителя. Для извлечения искомых соединений из внутренних органов возможны такие способы, как однократная и многократная экстракция, т.к. непрерывная экстракция требует специальной аппаратуры.
При использовании метода экстракции отсутствует химическое превращение разделяемых веществ и не образуются побочные продукты. Вещества, выделенные с помощью метода экстракции, как правило, не содержат примесей, связанных с процессами адсорбции и окклюзии. Этот метод может использоваться для разделения термолабильных веществ. Применение метода экстракции для концентрирования позволяет переводить вещества из сильноразбавленных растворов в небольшой объем органического растворителя.
3. Немаловажную роль в экстракции играет и степень измельчённости объекта, что обеспечивает максимальный доступ растворителя к искомому веществу (площадь соприкосновения твердой и жидкой фаз), но одновременно увеличивает количество соэкстрактивных веществ.
Вторая стадия изолирования «нелетучих» ядов заключается в выделении их из водного извлечения путём экстрагирования органическим растворителем, не смешивающимся с водой, при различных значениях рН среды. Этим достигается концентрирование вещества в извлечении и его частичная очистка от нормальных компонентов биоматериала (не растворимых в данном растворителе).
За счёт экстрагирования веществ вначале из кислого, а затем из щелочного водного раствора, их можно разделить на 2 подгруппы:
1. Вещества, экстрагируемые органическими растворителями из кислого раствора (вещества кислотного, нейтрального и частично слабоосновного характера).
2. Вещества, экстрагируемые из щелочного раствора (вещества основного и частично слабоосновного характера).
Вещества со слабо выраженными основными свойствами могут частично перераспределяться из одной подгруппы в другую. К ним относятся производные пурина: кофеин, теобромин, теофиллин; опийные алкалоиды: папаверин, наркотин; производные индола: бруцин, стрихнин; стероидоподобный алкалоид – вератрин; некоторые синтетические лекарственные средства: антипирин, амидопирин, промедол; производные фенотиазина – аминазин и др.
Для веществ нейтрального характера, не способных к ионизации, практически не требуется создания определённого значения рН, т.к. они экстрагируются органическим растворителем в молекулярной форме из любой среды. Разделение веществ на 2 подгруппы в значительной степени облегчает проведение последующего ненаправленного анализа с целью обнаружения неизвестного яда.
На второй стадии изолирования продолжают играть свою роль уже рассмотренные выше факторы, такие, как:
1) растворимость яда, которая определяется степенью ионизации а и регулируется величиной рН среды;
2) природа экстрагента, его объём, время и кратность экстракции.
Если на первой стадии изолирования веществ данной группы мы стремились перевести их в ионизированное состояние и сделать водорастворимыми, то на второй стадии наша задача заключается в том, чтобы перевести вещества в неионизированную (молекулярную) форму (а > 0), которая хорошо экстрагируется из водной фазы неполярным органическим растворителем. Необходимое для этого значение рН может быть рассчитано из уравнения, имеющего следующий вид:
рН = рКа – 2 (3) для кислот,
рН = рКа + 2 (3) для оснований.
Понятно, что для веществ кислого характера на этой стадии требуется создание кислой среды, а для основных – щелочной.
В качестве экстрагентов веществ из водной фазы подбирают неполярные органические растворители, которые:
а) не смешиваются с водой и по удельному весу (d) значительно отличаются от нее, что предотвращает образование эмульсий в процессе экстрагирования (d = 1,0);
б) имеют низкую температуру кипения, что облегчает их упаривание из экстракта;
в) хорошо растворяют изолируемое вещество и обеспечивают высокий коэффициент распределения его между водной и органической фазами
(Кр = Со/Св).
Коэффициент распределения можно увеличить, добавив в водную фазу электролит, который способствует вытеснению вещества из водной фазы в слой органического растворителя за счет понижения его растворимости в воде (разрушение сольватной оболочки молекул). В качестве электролита используют натрия сульфат, аммония сульфат, натрия хлорид. По данным проф. В.Ф. Крамаренко, наиболее подходящим электролитом при изолировании алкалоидов является аммония сульфат.
Наличие электролита в водной фазе приводит также к осаждению белков, что служит своеобразной очисткой полученного извлечения. Избыточное количество электролита, особенно при изолировании соединений кислотного характера, может привести к значительным потерям искомых веществ за счёт их осаждения.
Исходя из перечисленных выше требований, наиболее подходящим экстрагентом для веществ кислотного характера является эфир, а для веществ основного характера хлороформ.
4. Объём экстрагента, время и кратность экстракций.
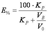
Необходимый объём экстрагента при однократной экстракции можно рассчитать, исходя из уравнения степени экстракции (Е):

где:
КP – коэффициент распределения;
VВ – объём водной фазы;
V0 – объём органической фазы.
Время экстракции обычно не превышает 5 минут, т.к. экспериментально доказано, что за этот период времени большинство органических соединений переходит из водной в органическую фазу.
Кратность экстракции обычно составляет 2 – 3, что обеспечивает полноту извлечения вещества за счёт поступления свежих порций растворителя.
Влияние температуры на экстракцию. Изменение температуры влияет на константу распределения экстрагируемого вещества. Это объясняется тем, что при изменении температуры изменяется растворимость экстрагируемых веществ в каждой фазе, а также изменяется взаимная растворимость органической и водной фаз. Причем с изменением температуры растворимость вещества в каждой фазе изменяется неодинаково.
При изменении температуры может изменяться диссоциация и ассоциация вещества в соответствующей фазе. Поэтому при изменении температуры изменяется гидратация (сольватация) и экстрагируемость химических соединений.
Влияние электролитов на экстракцию. Понижение растворимости веществ в водных растворах под влиянием электролитов называется высаливанием, а повышение растворимости – всаливанием.
Высаливание является фактором, понижающим растворимость веществ в воде и повышающим их экстрагируемость органическими растворителями из водных растворов.
5.1.2. Очистка изолируемых веществ от сопутствующих компонентов
При изолировании ядовитых веществ из биоматериала совместно с ними экстрагируются т.н. соэкстрактивные вещества – примеси белков, продуктов их гидролиза – пептидов и аминокислот, липидов и ряда других соединений, которые являются естественными компонентами биоматериала.
Соэкстрактивные вещества в дальнейшем мешают проведению анализа:
1. Маскируют окраску при проведении реакций окрашивания (обугливание соэкстрактивных веществ под действием концентрированной серной кислоты).
2. Снижают чувствительность микрокристаллических реакций и приводят к образованию кристаллов неправильной формы, либо к их полиморфизму (многообразие форм).
3. Искажают спектры веществ при спектральном исследовании в УФ - и ИК-областях.
4. Дают искаженные результаты количественного определения веществ.
5. Многие продукты гнилостного разложения биоматериала дают такие же реакции, как и некоторые ядовитые вещества (например, трупные алкалоиды – путресцин, кадаверин – дают реакции с общеалкалоидными реактивами).
Для получения надежных результатов необходима очистка исследуемых веществ от соэкстрактивных веществ биоматериала. Очистка может быть проведена при подготовке объекта, в процессе изолирования или после него.
На 1 этапе изолирования возможна только грубая очистка, которая проводится путем:
1 – удаления механических загрязнений (мелких частиц биоматериала) фильтрованием, центрифугированием;
2 – осаждения примесей при добавлении соответствующих реагентов, например, осаждение белков абсолютным спиртом, ацетоном, трихлоруксусной кислотой, вольфрамовой, фосфорно-вольфрамовой, фосфорно-молибденовой кислотами, насыщение электролитами (Na2SO4, (NH4)2SO4, NaCI). При этом возможно соосаждение искомых веществ, что ведет к их частичной потере;
3 – изменения состава фаз, т.е. введения другого органического растворителя (связано с большими потерями веществ).
На 2 этапе изолирования или после него возможна более тонкая очистка, которая может осуществляться путем:
1 – реэкстракции, т.е. переведения веществ из одной жидкой фазы в другую при изменении рН раствора (например, очистка барбитуратов и алкалоидов за счет различной растворимости их солеобразных и молекулярных форм в воде и органических растворителях). При этом примеси отделяются от экстрагируемого вещества за счет нерастворимости в используемом экстрагенте. Либо, наоборот, экстрагирование примесей из раствора подходящим экстрагентом (эфир в методе В.Ф. Крамаренко).
2 – сублимации – для веществ, способных возгоняться без разложения при нагревании (салициловая, бензойная кислоты, барбитураты, жидкие алкалоиды).
3 – хроматографии – ионообменной, гель-хроматографии, адсорбционной хроматографии на колонках, тонкослойной хроматографии. Последний вид хроматографии используется часто, т.к. наряду с очисткой дает возможность разделить вещества (их метаболиты) при комбинированных отравлениях и провести их предварительную идентификацию по величинам Rf (хроматографический скрининг «нелетучих» ядов).
5.2.1.ОБЩИЕ И ЧАСТНЫЕ МЕТОДЫ ИЗОЛИРОВАНИЯ
В зависимости от поставленной перед экспертом–химиком задачи, судебно–химическое исследование может носить общий или частный характер, т.е. анализ может быть ненаправленным (общим) или направленным (частным).
Частное исследование предусматривает проведение анализа на какое–то определенное вещество или группу веществ. Например, на производные барбитуровой кислоты, на алкалоиды или даже на одно конкретное вещество. При частном исследовании метод изолирования подбирается с учётом физико–химических свойств того соединения (или группы соединений), на которое производится анализ.
Общий анализ включает исследование на несколько групп веществ (3 группы), подлежащих обязательному судебно–химическому исследованию, в том числе и на группу «нелетучих» ядов. В этом случае используются общие для всей группы веществ (универсальные) методы изолирования.
Общими методами изолирования «нелетучих» ядов являются:
1. Изолирование подкисленным этанолом.
2. Изолирование водой, подкисленной щавелевой кислотой.
Первые два метода вначале были разработаны для алкалоидов, а затем применены и к другим веществам.
3. Изолирование нейтральным ацетоном.
5.2.1.1. Изолирование подкисленным этанолом
Самый первый метод изолирования подкисленным спиртом, названный по имени авторов метода Стаса – Отто, применялся только для алкалоидов. В дальнейшем это метод претерпел серьёзные изменения и стал использоваться не только для алкалоидов, но и для многих других ядовитых и сильнодействующих веществ, имеющих токсикологическое значение.
Современная модификация метода состоит из этапов:
• Настаивание измельчённого объекта с этиловым спиртом, подкисленным щавелевой кислотой до рН 2 – 3, в течение суток. Спирт берётся в количестве, необходимом для покрытия объекта до «зеркала». Спиртовое извлечение сливается и вся операция повторяется трехкратно.
• Упаривание объединённых спиртовых извлечений при температуре 40 – 50 0С до густого остатка, в который по каплям добавляют абсолютный этанол для коагуляции белков. Осадок отфильтровывают и всю операцию осаждения повторяют по мере необходимости до полного удаления белковых соединений.
• Упаривание фильтрата при той же температуре до густого остатка и разбавление горячей водой для удаления смолистых веществ, жиров и пигментов. Осадок отфильтровывают.
• Экстрагирование веществ кислого, нейтрального и слабоосновного характера из водного фильтрата хлороформом при рН = 2 (трёхкратная экстракция), отделение органической фазы и концентрирование полученного извлечения упариванием (фракция А, «кислое» извлечение).
• Подщелачивание оставшегося после разделения фаз водного слоя до рН 9 – 10, экстрагирование веществ сильноосновного характера (трёхкратная экстракция) хлороформом, отделение органической фазы и концентрирование упариванием (фракция Б, «щелочное» извлечение).
• Изолирование «нелетучих» ядов из биологического материала подкисленным спиртом (метод Стаса-Отто) проводится по следующей схеме:
Рисунок 1. Схема проведения анализа методом «Стаса-Отто»

Достоинства метода заключаются в следующем:
1. Метод универсален, т.к. этанол является хорошим растворителем для многих веществ этой группы (как ионизированных, так и молекулярных форм).
2. Метод предусматривает очистку извлечения от балластных веществ, в результате чего получаются чистые хлороформные извлечения, не дающие эмульсий при экстрагировании веществ из водной фазы хлороформом. Метод даёт возможность изолировать до 30 % барбитуратов и 20 – 25 % алкалоидов.
К недостаткам метода следует отнести:
Дата добавления: 2015-08-01; просмотров: 11766;
