Загальні положення
Кадастрові знімання–це комплекс робіт, які виконують для визначення та відновлення меж земельних ділянок.
Кадастрові знімання є одною із складових частин державного земельного кадастру (ст. 196 Земельного кодексу України).
Кадастрові знімання (відповідно до ст. 198 Земельного кодексу України) включають:
- геодезичне встановлення меж земельної ділянки;
- погодження меж земельної ділянки з суміжними власниками та землекористувачами;
- відновлення меж земельної ділянки на місцевості;
- встановлення меж частин земельної ділянки, які містять обтяження та обмеження щодо використання землі;
- виготовлення кадастрового плану.
Кадастрові знімання виконуються особами, які мають ліцензію на проведення робіт з кадастрових знімань, видану органами Держкомзему України у встановленому законодавством порядку. Порядок проведення кадастрових знімань, склад і форми документів, які подаються за результатами їх виконання, вимоги до точності робіт визначаються нормативними актами Держкомзему України та Головного управління геодезії, картографії та кадастру при Кабінеті Міністрів України.
Роботи з кадастрових знімань проводять у два етапи:
1 етап – підготовчий;
2 етап – виробничий.
Підготовчий етап виконується підрядчиком за участю районних відділів та міських управлінь (відділів) земельних ресурсів згідно з завданням замовника і полягає у :
- розробці технічного завдання на виконання робіт;
- підготовці робочого кадастрового плану (схеми) виконання робіт;
- збиранні, вивчені і оцінці забезпечення робіт матеріалами землеустрою, земельно-кадастровими та планово-картографічними матеріалами.
Вивченню і аналізу підлягають графічні, текстові і правові документи на земельні ділянки, матеріали попередніх знімань, наявні кадастрові плани, топографічні плани та карти найбільш великих масштабів.
На базі зібраних і проаналізованих матеріалів складається технічне завдання на виконання робіт, в якому вказують:
- етапність виконання робіт;
- черговість виконання обстежень та кадастрових знімань земельних ділянок;
- методи виконання знімань;
- способи вирахування площ;
- необхідність встановлення обмежень (обтяжень) щодо використання земельних ділянок;
- вимоги до оформлення документації.
На основі наявних планово-картографічних матеріалів створюють робочі кадастрові плани (схеми) та готують договір на проведення робіт.
За наявності необхідних матеріалів роботи проводять у такому порядку:
- на планово-картографічний матеріал наносять межі земельних ділянок, кадастрових зон та їх номери (за межами населених пунктів);
- на планово-картографічний матеріал населеного пункту наносять межі земельних ділянок, кадастрових кварталів та їх номери;
- наносять межі зон обмежень і обтяжень щодо використання земельних ділянок
Виробничий етап виконується підрядчиком і включає:
- складання списку (реєстру) власників землі та землекористувачів;
- польове обстеження земельних ділянок з уточненням їх меж та меж угідь, а також забудованих земель згідно з їх функціональним використанням (для земель населених пунктів);
- геодезичне встановлення (відновлення) меж земельних ділянок;
- погодження меж земельних ділянок із суміжними власниками та користувачами;
- встановлення меж зон обмежень і обтяжень щодо використання земельних ділянок;
- камеральне опрацювання результатів робіт.
Виробничий етап починається зі складання списку (реєстру) власників землі та землекористувачів в межах кварталу, масиву чи населеного пункту або за його межами. Від кожного власника землі чи землекористувача отримуються копії правовстановлюючих документів (державних актів, рішень органів державної влади) про надання земельних ділянок у власність або користування.
Польове обстеження включає пошук та уточнення поворотних точок меж земельних ділянок, меж угідь та меж забудованих земель згідно з їх функціональним використанням.
Кадастрові зніманняземельних ділянок виконуються, як правило, в процесі польового обстеження. Ведеться абрисвстановлення (відновлення) меж земельних ділянок і меж зон обмежень і обтяжень.
Встановлення меж – це процес закріплення в натурі межовими знаками і в правовому документі меж власності із узгодженою і зареєстрованою точною лінією.
Межі земельних ділянок, що надаються або передаються у власність чи користування, встановлюються або відновлюються в натурі за наявними планово-картографічними матеріалами і закріплюються довгостроковими межовими знаками встановленого зразка.
Встановлення або відновлення в натурі поворотних точок меж земельних ділянок здійснюється геодезичними методами з прив’язкою їх до пунктів державної геодезичної мережі (з наступним вирахуванням координат поворотних точок меж і площ земельних ділянок).
Встановлення (відновлення) меж земельних ділянок на місцевості супроводжується погодженням меж земельних ділянок із суміжними власниками землі та землекористувачами. Результати погодження меж оформляються протоколом, до якого додають кадастровий план земельної ділянкиіз нанесенням погоджених меж.
Закріплення меж на місцевості здійснюють при наявності протоколу погодження меж.
Спори відносно меж земельних ділянок регулюються місцевими органами Держкомзему України. В разі неузгодженості спори можуть бути вирішені в судовому порядку.
Камеральні роботи передбачають обробку результатів польових вимірів та складання кадастрового плану, який є складовою частиною технічної документації.
Знімання меж земельних ділянок з метою нанесення їх на планово-картографічний матеріал виконується різними методами залежно від наявності пунктів державної геодезичної мережі (ДГМ) та пунктів знімальної основи, до яких можлива прив’язка межових знаків. Прокладання теодолітних або полігонометричних ходів по межі ділянки з прив’язкою їх до пунктів ДГМ та вибір ходу залежать від умов технічного завдання.
Знімання меж земельних ділянок для цілей земельного кадастру декілька століть поспіль велися традиційним наземним способом з використанням теодоліта і мірної стрічки. В останні роки для проведення кадастрових знімань застосовують нові прилади і технології. Традиційний у минулому теодоліт поступово витісняється електронним тахеометром, який дозволяє вимірювати лінії за допомогою світла. Створюються так звані «тотальні станції», що об’єднують функції багатьох інструментів в єдиному блоці, який дозволяє одержувати, накопичувати і зберігати необхідну інформацію .
На початку 90-х років ХХ ст. нову сторінку у проведені земельно-кадастрових знімань започаткувало впровадження глобальних позиційних систем (GPS), за допомогою яких одержується набагато точніша інформація, ніж традиційними способами.
Велике значення для створення земельно-кадастрових планів і карт має застосування дистанційних методів зондування території. Найбільш поширеними із них є космічні знімання і аерофотознімання. Основна перевага цих методів над традиційними наземними полягає в тому, що:
-по-перше, вони надають можливість зібрати великий масив інформації про землю за короткий час, не потребуючи значних польових робіт;
- по-друге, за допомогою аерофотознімання, як досить доступного методу в нормальних економічних умовах, можна досить швидко проводити поновлення крупномасштабних карт для оперативного ведення обліку і оцінки існуючого стану земель, що є досить актуальним в умовах динамічного перерозподілу земель меж їх власниками і користувачами.
Методи проведення знімань і їх точність встановлені положенням про земельно-кадастрову інвентаризацію земель населених пунктів [20], а кінцеві технічні вимоги викладаються в технічному завданні на виконання робіт.
Матеріали кадастрових знімань є основною складовою частиною кадастрової справи по виготовленню державних актів на право власності на землю або право постійного користування землею.
2.2 Точність картографо-геодезичних матеріалів і кадастрових планів
Одним з найважливіших параметрів кадастрової інформації є точність матеріалів і документів кадастру, яка залежить від середніх квадратичних похибок при кадастрових зніманнях, похибок, які допускаються при обробці результатів польових вимірювань чи дигіталізації існуючих топографічних планів і карт або аерофотознімків. Для кадастрових документів (відомостей обчислення координат, відомостей обчислення площ земельних ділянок та ін.) важливим параметром є середні квадратичні похибки представлених величин, які в значній мірі залежать від масштабу кадастрових знімань.
Масштаб картографо-геодезичних матеріалів визначає не тільки точність та наочність кадастрової інформації, але і трудомісткість, тривалість і вартість робіт з кадастрового знімання.
Вибір масштабу кадастрових знімань залежить від багатьох факторів і рівнів представлення кадастрової інформації (цінністю кадастрових об’єктів, насиченістю території інженерно-технічною та промисловою інфраструктурою, площею території, станом топографо-геодезичного забезпечення тощо).
Оскільки масштаб, передусім, визначає точність представлення основного (базового) рівня інформації, то виникає питання вибору так званого базового масштабу кадастрових знімань і вихідних кадастрових матеріалів.
Основними вихідними матеріалами для складання кадастрових планів є топографічні карти і плани відповідних масштабів, а також матеріали аерофотознімання. Базовим масштабом топографічних знімань є масштаб 1:500, оскільки в процесі знімання можна отримати точні і повні дані складання топопланів усього масштабного ряду.
Сучасна технологія створення кадастрових планів передбачає використання одних і тих же вихідних матеріалів, зокрема аерофотознімків, для створення як топографічних, так і кадастрових планів, але з відповідною для кожного плану інформацією.
Отже, як з принципової точки зору, так і з технологічного підходу базовим масштабом кадастрового знімання в населених пунктах можна прийняти масштаб 1:500.
Однак при певних видах кадастрових робіт даний масштаб не забезпечує необхідної точності. Так, наприклад, поверхові плани житлового фонду складають у масштабах 1:100, 1:200 у зв’язку з необхідністю детального відображення елементів будинків і квартир.
Для визначення площ цінних земельних ділянок у населених пунктах точність масштабу 1:500 також не задовольняє вимог грошової оцінки землі.
Отже, базовий масштаб кадастрових знімань, орієнтований тільки на створення планово-картографічних матеріалів кадастру, не може служити інтегральним критерієм точності збору кадастрових даних, як це прийнято в топографії. Це обумовлює необхідність при обґрунтуванні вибору масштабу кадастрових знімань врахування інших спеціальних вимог, наприклад, точності визначення площ і встановлення положення межових знаків земельних ділянок тощо.
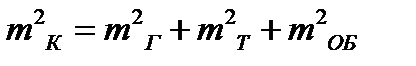
Кількісне значення показника точності кадастрових планів можна встановити з відомого математичного співвідношення:
, (2.1)
де mк - середня квадратична похибка створення кадастрового плану;
mг - середня квадратична похибка побудови геодезичної основи;
mт - середня квадратична похибка зображення елементів середовища на топографічних планах;
mоб- середня квадратична похибка визначення положення елементів об’єктів і явищ середовища на кадастровому плані.
Наведений вираз (2.1) характеризує загальну модель співвідношення точності складових кадастрового плану. Вказане співвідношення не враховує технологічні особливості створення плану, трудомісткість операцій та часово-економічні параметри.
Отже, при відомій точності опорної геодезичної мережі можна розрахувати точність створення кадастрового плану, задаючись точністю окремих ланок технологічної схеми.
Точність топографічних планів і карт, складених за матеріалами різних видів знімань (мензульного, тахеометричного, аерофотознімання), різна через різні технології і прилади, які використовуються при цих роботах.
Так, для теодолітного чи мензульного знімання середні квадратичні похибки положення контурних точок приблизно однакові і досягають 0,4 мм в масштабі плану. Така ж приблизно точність планів, складених за матеріалами аерофотознімання.
В інструкції з топографічного знімання [10] вказується, що середні квадратичні похибки в положенні на плані предметів та контурів місцевості з чіткими обрисами відносно найближчих точок знімальної основи не повинні перевищувати 0,5 мм, а в гірських та лісових районах –0,7мм.
Під точністю плану (карти) розуміють величину середньої квадратичної похибки положення контурної точки на плані відносно найближчих пунктів планової геодезичної основи, враховуючи, що похибки положення пунктів знімальної основи є складовою частиною середньої квадратичної похибки положення контурної точки.
Точність знімальної основи,в тому числі планових опознаків, відносно пунктів державної геодезичної мережі і геодезичних мереж згущення не повинні перевищувати на відкритій місцевості і забудованій території 0,2 мм в масштабі плану і 0,3 мм – на місцевості, покритій лісом і чагарниками.
При створенні кадастрових планів масштабу 1:2000 аеротопографічним методом координати планово-висотних опознаків визначаються з точністю 0,1мм в масштабі плану, або 0,2 м на місцевості. Середні величини розбіжностей між координатами чітких контурних точок, взятих з аналітичного згущення фотограмметричних мереж, і пунктами геодезичних мереж, не повинні перевищувати 0,5 мм в масштабі плану. По цих матеріалах координати точок поворотів меж і межових знаків земельних ділянок будуть визначатись з точністю топографічних планів масштабу 1:2000, або з абсолютною величиною від 0,2 до 1,0 метра стосовно до пунктів геодезичної мережі.
Вимоги до точності та детальності відображення кадастрових об’єктів згідно Положення по земельно-кадастровій інвентаризації земель населених пунктів [20] визначаються цільовим призначенням, якістю земель і максимальними можливостями відображення в плані облікової одиниці площі. Такими обліковими одиницями повинні бути:
- у містах республіканського і обласного підпорядкування -1 м2 (0,0001 га);
- ділянок для садово-городніх товариств - 2,5 м2 (0,00025 га);
- у містах районного підпорядкування і селищах - 15 м2 (0,0015 га);
- у селах - 100 м2 (0,010 га).
У зв’язку з цим рекомендуються такі масштаби створення земельно-кадастрових карт (планів):
- у містах республіканського і обласного підпорядкування – не дрібніше 1:500;
- у містах районного підпорядкування і селищах – не дрібніше 1:1000;
- у селах – 1:2000.
Для забезпечення необхідної точності відображення прийнятої облікової одиниці площі гранична похибка точок знімального обґрунтування і межових знаків відносно найближчих пунктів державної геодезичної мережі не повинна перевищувати:
- у містах республіканського і обласного підпорядкування - 10 см;
- у містах районного підпорядкування і селищах - 20 см;
- у селах - 40 см.
Похибка взаємного положення суміжних точок межі не повинна перевищувати 0,1 мм у масштабі плану.
Відносна похибка визначення площmp /p не повинна перевищувати 1/1000.
Дата добавления: 2015-08-26; просмотров: 2044;
