Теодолітний хід
При зніманні точок поворотів меж шляхом прокладання теодолітних (полігонометричних) ходів середня квадратична похибка в ходах полігонометрії (теодолітних ходах) довільної форми визначається за формулою:
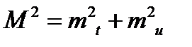
, (2.2)
де М – очікувана середня квадратична похибка в положенні кінцевого пункту ходу відносно початкового після врівноваження за умову дирекційних кутів;
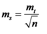
ms - середня квадратична похибка вимірювання ліній;
mβ- середня квадратична похибка вимірювання кутів;
S - довжини сторін ходу;
n - кількість сторін в ході.
Для розрахунку точності лінійних і кутових вимірювань формулу (2.2) представимо у вигляді
, (2.3)
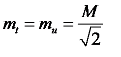
де mt і mu - відповідно поздовжній і поперечний зсув ходу:
, (2.4)
. (2.5)
Для визначення величин ms і mβ приймемо принцип однакового впливу цих похибок на точність полігонометричного (теодолітного) ходу. Таким чином:
. (2.6)
Величини ms і mβ визначимо з формул (2.4) і (2.5):
, (2.7)
. (2.8)
Виходячи з формул (2.7), (2.8), здійснюють вибір світловіддалеміра і тип теодоліта.
Сторони теодолітних ходів вимірюють світловіддалемірами та електронними тахеометрами, згідно з вимогами відповідних інструкцій з експлуатації даного типу приладу.
Абсолютні лінійні похибки не повинні перевищувати 1.0 м при зніманні у масштабі 1:2000; 0,6 м – у масштабі 1:1000; 0,3 м – у масштабі 1:500.
Кутові нев’язки у таких теодолітних ходах не повинні перевищувати:
, (2.9)
де n+1 – кількість кутів у ході.
Дата добавления: 2015-08-26; просмотров: 1397;
