Пряма кутова засічка
В прямій кутовій засічці положення невідомого пункту С визначають за координатами вихідних пунктів А і В та виміряними на цих пунктах кутами β1 і β2 ( рис. 2.1).

Рисунок 2.1 - Пряма кутова засічка
Засічку, наведену на рис. 2.1, називають прямою одноразоваю засічкою. У прямій одноразовій засічці відсутній контроль виміряних кутів, отже, координати пункту С також визначаються безконтрольно.
Якщо пункт С визначається за координатами трьох вихідних пунктів і виміряними на цих пунктах кутами, таку засічку називають багаторазовою.
Пряма багаторазова засічка фактично являє собою дві одноразові засічки, які можуть бути розв’язані окремо, а отже, координати пункту С будуть знайдені з контролем.
При кадастрових зніманнях дозволяється застосування лише багаторазової засічки.
Середню квадратичну похибку положення точки С, визначеної методом прямої кутової засічки (одноразової), обчислюють за формулою
, (2.10)
де mβ - середня квадратична похибка вимірювання кутів;
γ - кут при вершині засічки;
S1 і S2 - відстані від опорних точок до точки, що визначається.
Приймаючи до уваги, що
, (2.11)
а
, (2.12)
формулу (2.10) запишемо у вигляді:
.(2.13)
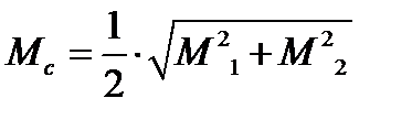
Якщо координати пункту С визначені як середнє арифметичне із результатів обчислень в двох варіантах (із двох одноразових засічок), то положення його характеризується середньою квадратичною похибкою:
.(2.14)
Розходження між середніми квадратичними похибками М1 і М2, визначеними із двох одноразових засічок, не повинно перевищувати 0,15м.
Дата добавления: 2015-08-26; просмотров: 3532;
