Зворотна кутова засічка
Зворотньою кутовою засічкою називають побудову на місцевості, в якій координати невідомого пункту P визначають за координатами трьох вихідних пунктів Т1, Т2, Т3 і виміряними на пункті Р кутами β1 і β2 на вихідні пункти (рис. 2.3).

Рисунок 2.4 - Зворотна одноразова засічка
Засічку, приведену на рис. 2.4, називають зворотною одноразовою засічкою.
У зворотній одноразовій засічці відсутній контроль виміряних кутів β1і β2, отже, координати пункту Р визначаються безконтрольно.
Якщо на пункті Р виміряти ще хоча б один додатковий напрямок на пункт з відомими координатами (наприклад, Т4), то будемо мати зворотню багаторазову засічку (рис. 2.5).

Рисунок 2.5 - Зворотна багаторазова засічка
Зворотна багаторазова засічка фактично являє собою кілька одноразових засічок, які можуть бути розв’язані окремо, а отже, кординати пункту Р будуть визначені з контролем.
Кількість одноразових засічок дорівнює кількості комбінацій С43:
.
Інструкція з топографічного знімання [10] дозволяє застосовувати лише багаторазові засічки.
Оцінку точності проекту зворотної багаторазової засічки виконують окремо для двох варіантів одноразових засічок на 3 напрямки. Вибирають два з чотирьох варіантів, а саме:
- на пункти Т1, Т2, Т3 ;
- на пункти Т1, Т2, Т4 ;
- на пункти Т1, Т3, Т4 ;
- на пункти Т2, Т3, Т4 ,
які найбільше підходять за розміщенням для зворотної засічки.
Середню квадратичну похибку положення пункту Р визначають зформули:
, (2.19)
де mнапр – середня квадратична похибка напрямку (mнапр=mβ/
);
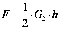
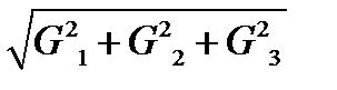
F, G1, G2, G3 – відповідно площа і сторони інвертного (оберненого) трикутника, які розташовані навпроти виміряних кутів (рис. 2.6). Довжини сторін G1, G2, G3 визначають графічно (у прийнятому масштабі).

Рисунок 2.6 - Побудова інвертного трикутника
Площу інвертного трикутника можна обчислити як
, (2.20)
де h – висота, проведена з вершини Т21 на G2 , або за формулою Герона:
, (2.21)
де
.
Оскільки площа F має розмірність
, а
-
, то М отримаємо у метрах.
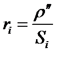
Градієнти чі на напрямках РТ1, РТ2, РТ3 визначають за формулою:
, (2.22)
тобто
,
,
.
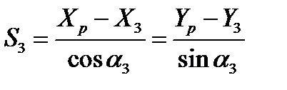
Значення відстаней Sі визначають як
,
,
,
де
;
;
.
Таким чином, отримаємо середню квадратичну похибку
положення пункта Р за формулою (2.19) для одного із варіантів зворотної одноразової засічки на пункти Т1, Т2, Т3.
Аналогічно виконують оцінку для другого варіанта зворотної одноразової засічки, наприклад на пункти Т1, Т2, Т4 , й отримують друге значення МрII.
За остаточне значення приймають середнє вагове
. (2.23)
Величина Мр не повинна перевищувати 0,2 мм у масштабі знімання для незабудованих територій і 0,3 мм – для забудованих територій.
Дата добавления: 2015-08-26; просмотров: 2833;
