Сведение криволинейного интеграла І рода к интегралу Римана
Пусть на кривой
выбрано направление от
до
(одно из двух возможных). Тогда положение произвольной точки
на кривой может быть определено не только ее координатами
, а и длиной дуги
, которая отсчитывается от начальной точки
. Тогда кривая
может быть параметрически определена следующим образом:
,
где
- длина всей кривой
. Функция
, которая определена вдоль кривой
, сведется к сложной функции
от переменной
.
Обозначим значения длин дуг, которые отвечают на кривой
точкам
, через
, тогда
.
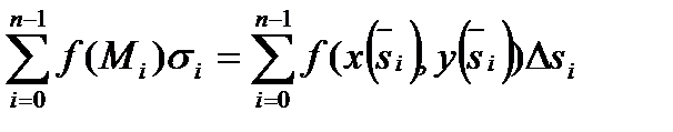
Обозначим через
, значения длины дуги, которые определяют положение точек
. Тогда
,
т.е. интегральная сумма для криволинейного интеграла І рода является одновременно интегральной суммой для обычного определенного интеграла Римана, поэтому имеем:
, (40)
(где
означает обычный интеграл Римана), и вдобавок существование одного интеграла влечет за собой существование другого.
Будем дальше предполагать, что функция
, которая определена на кривой
, является непрерывной. Пусть теперь простая кривая
определена произвольными параметрическими уравнениями:
, (45)
где функции
- непрерывны. Тогда кривая
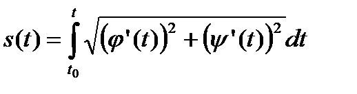
является спрямляемой и, если возрастание дуги
отвечает росту параметра
, то (как известно из темы «Применение интеграла Римана») длина дуги вычисляется как
. (50)
Тогда

Таким образом, в случае, когда кривая
определена параметрически с помощью (45), формула сведения криволинейного интеграла І рода к интегралу Римана имеет вид:
. (60)
Пусть теперь кривая
определена при помощи обычного уравнения:
, (70)
тогда для того, чтобы применить формулу (60) в этом случае, приведем задание кривой (70) к параметрическому виду обычным способом, рассматривая переменную
как параметр:
.
Формула (60) принимает вид:
. (80)
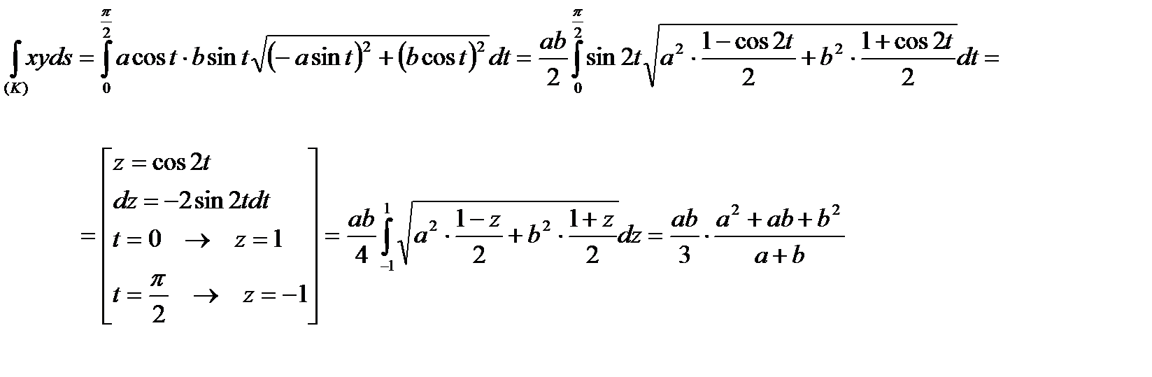
Пример. Вычислить криволинейный интеграл І рода
, где
- это четверть эллипса
, которая находится в І квадранте.
Перейдем к параметрическому заданию нужной части эллипса:
.
Тогда
.

Вопросы
- Построение интегральной суммы для криволинейного интеграла І рода.
- Определение криволинейного интеграла І рода.
- Формула сведения криволинейного интеграла І рода к интегралу Римана в случае, когда кривая определена параметрически.
- Формула сведения криволинейного интеграла І рода к интегралу Римана в случае, когда кривая определена обычным способом.
Дата добавления: 2015-08-21; просмотров: 2958;
