Определение криволинейного интеграла І рода
Пусть вдоль кривой
определена некоторая функция
, которую назовем «функцией точки». Повторим действия, проведенные више для задачи о массе кривой для произвольной функции
. Пусть
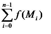
, построим
=
. (30)
Сумма (30) является интегральной суммой для криволинейного интеграла І рода.
Аналогичный процесс построения интегральной суммы можно использовать и в случае замкнутой кривой.
Определение 1. Пусть существует конечный предел
,
который не зависит ни от способа разбиения
на части
, ни от выбора промежуточных точок
, тогда этот предел называется криволинейным интегралом І рода от функции
по кривой
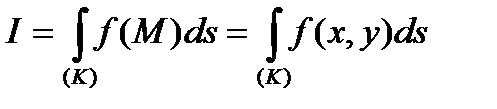
и обозначается:
.
Тогда согласно формуле (20) и определению 1 масса кривой вычисляется как
.
Замечание 1. В определении криволинейного интеграла І рода не имеет значения направление, которое выбирается на кривой
, т.е., если точки
- это концы кривой
, то
.
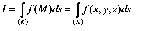
Аналогично определяется криволинейный интеграл І рода по кривой
, которая находится не на плоскости, а в трехмерном пространстве:
.
Дата добавления: 2015-08-21; просмотров: 667;
