Формула конечных приращений
Если т. a=x, b=x+Δx
отрезок [x; x+Δx], то по теореме Лагранжа
,
где
.
Или, учитывая, что
,
, получим
– формула конечных приращений.
| Note | Формула конечных приращений часто применяется в математике при различных доказательствах. Однако следует помнить, что где именно расположена точка с, теорема Лагранжа (к сожалению!) не дает ответа. Единственно, что следует из теоремы, это т. .
|
7.4. Теорема Коши[16]
| Т. | (Теорема Коши) Пусть две функции f(x) и g(x) определены и непрерывны на отрезке [a;b] и дифференцируемы на интервале (a;b) и производная на (a;b). Тогда, .
|
Proof:
Чтобы воспользоваться теоремой Роля (см. п. 7.2) введем вспомогательную функцию
.
Очевидно, что
,
. Тогда по теореме Роля
.
Производная
.
В т.
, т.е.
.
Откуда
, ч.т.д.
7.5. Правило Лопиталя[17]. Раскрытие неопределенностей
| Т. | (Теорема Лопиталя) Пусть две функции f(x) и g(x) определены и непрерывны на отрезке [x0; x] и дифференцируемы на интервале (x0; x), причем . Пусть и . Тогда, если существует то , причем
.
|
Proof:
По теореме Коши
, где
.
По условию теоремы
и
, т.е.
.
Тогда при
(по теореме о сжатой переменной)
.

Или
.
Пусть
, тогда при
, т.о. символ «с» можно заменить на символ «x», т.е. если
.
| Note 1 | Если рассмотреть отрезок [x; x0] и провести аналогичное доказательство, то все рассуждения справедливы при .
Поэтому в дальнейшем будем писать .
|
| Note 2 | Пусть в т. и , тогда справедливы все выводы теоремы Лопиталя.
|
| Note 3 | Т.о., если или , то справедливо «Правило Лопиталя».
|
– Правило Лопиталя,
причем, следует иметь ввиду, что его необходимо читать «справа-налево», т.е. если существует предел отношения производных, то существует предел отношения функций и эти пределы совпадают.
Ex.1. 
Ex.2. 
Ex.3. 
Пусть
, тогда 

Т.о.,
, откуда
.
7.6. Многочлен Тейлора[18] и Маклорена[19]. Остаточный член в форме Пеано и Лагранжа
| Т. | Пусть функция y=f(x) определена и (n+1) раз дифференцируема в некоторой окрестности т. . Тогда справедлива формула Тейлора: . Или более кратко
– формула Тейлора.
|
Proof:
Пусть
.
Пусть
– многочлен n-й степени,
– неизвестные константы.
Тогда
.
Пусть выполняется (n+1)-е условие:
,
,
,
………………..
.
Напомним, что
.
1. Пусть х=х0, тогда

или
.
Вычислим производную от многочлена Pn(x).
.
2. Пусть х=х0, тогда

или
.
Вычислим производную 2-го порядка от Pn(x).
.
3. Пусть х=х0, тогда
.
Продолжая этот процесс, вычисляя производные 3-го, 4-го, 5-го, …, n-го порядка, и, подставляя вместо
, получим
,
, …,
.
Подставляя эти значения констант в формулу для многочлена Pn(x), получим
.
Докажем, что 
или
,
т.е.
.
| Note 1 | Дома или на практическом занятии (применяя n раз правило Лопиталя) доказать, что
|
| Note 2 | Т.о. мы получили формулу Тейлора
с остаточным членом в форме Пеано[20].
|
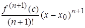
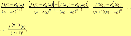
| Note 3 | Дома или на практическом занятии (применяя n+1 раз теорему Коши) доказать, что
где
|
Т.о.,
– формула Тейлора
с остаточным членом
– в форме Лагранжа.
| Note 4 | Если в формуле Тейлора положить x0 = 0 !!!, то получим формулу Маклорена
Или более кратко
– формула Маклорена.
|
| Note 5 | Дома или на практическом занятии получить формулы Маклорена для элементарных функций
1.
2.
3.
4.
5.
|
Дата добавления: 2015-08-20; просмотров: 1110;

Формула конечных приращений часто применяется в математике при различных доказательствах. Однако следует помнить, что где именно расположена точка с, теорема Лагранжа (к сожалению!) не дает ответа. Единственно, что следует из теоремы, это т.
на (a;b). Тогда,
.
и
. Тогда, если существует
то
, причем
.
.
Поэтому в дальнейшем будем писать
.
и
, тогда справедливы все выводы теоремы Лопиталя.
или
, то справедливо «Правило Лопиталя».
. Тогда справедлива формула Тейлора:
. Или более кратко
– формула Тейлора.
в форме Пеано[20].
где
Или более кратко
– формула Маклорена.
2.
3.
4.
5.