Теорема Гаусса-Остроградского
Вернемся к выражению для элементарного потока ∆N. Пусть электрическое поле создается точечным зарядом q; тогда модуль Е будет
Элементарный поток в этом случае:
Площадь площадки соответствующего элементарного сегмента будет: ∆S0 = ∆S cosа. Заметим, эта площадка площадью ∆S0 перпендикулярна радиусу. Тогда по определению телесного угла можно написать:
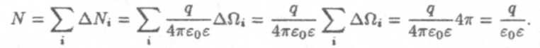
Полный поток вектора Ечерез произвольную замкнутую поверхность будет:
Таким образом, если точечный заряд расположен внутри произвольной замкнутой поверхности, то полный поток вектора напряженности через эту поверхность равен:
Обратите внимание, что этот результат не зависит ни от формы поверхности, ни от того, где внутри поверхности расположен заряд.
В случае, когда заряд находится вне замкнутой поверхности, поток вектора напряженности от этого источника равен нулю. Это следствие пояснено на рисунке, на котором изображена эта ситуация: заряд находится вне замкнутой поверхности и следствием этого является тот факт, что полный поток ∆N в элементарном телесном угле ∆Ω будет равен нулю из-за того, что угол, образованный вектором Еи вектором внешней нормали к поверхности n0будет таким, что cosa1> 0, а cosa2 < 0 (рис. 3.)
Если внутри поверхности расположен не один точечный заряд, а их совокупность или заряд распределен на некоторой поверхности или в некотором объеме, то формула (1) обобщается на основе принципа суперпозиции:
Теорема Гаусса-Остроградского:
Поток вектора напряженности электрического поля через произвольную замкнутую поверхность равен алгебраической сумме зарядов, расположенных внутри этой поверхности, деленной на электрическую постоянную и диэлектрическую проницаемость данной среды (2).
Используя теорему Гаусса, можно вычислить напряженность электрического поля вокруг заряженного тела при условии наличия симметрии относительно центра, плоскости или оси.
Дата добавления: 2015-08-11; просмотров: 902;
