Поток вектора напряженности электрического поля
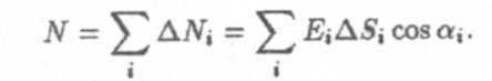
Элементарным потоком вектора напряженности ∆N называется скалярная физическая величина, равная произведению модуля вектора Е,площади площадки ∆S и косинуса угла между вектором Еи нормалью к площадке n(рис. 1). ∆N = Е∙∆S∙cos а. Полагаем, что ∆S → 0. Если поверхность замкнутая, то к ней выбирается внешняя нормаль. Полный поток через поверхность равен сумме потоков через все ее участки
|
Чтобы вычислить значение полного потока, оказывается полезным ввести вспомогательное понятие — телесный угол.
|
Телесным углом называется часть пространства, ограниченная некоторой конической поверхностью. Мерой телесного угла (рис. 2) служит отношение площади шарового сегмента S0, вырезаемого данным телесным углом на поверхности сферы радиуса r, к квадрату этого радиуса. Единица телесного угла — стерадиан (ср) — это телесный угол с вершиной в центре сферы, вырезающий на поверхности сферы элемент, равный квадрату радиуса. Итак, Ω = 1ср, если S0 = r2. Полный телесный угол вокруг точки равен 4π ср.
Дата добавления: 2015-08-11; просмотров: 985;
