Задание для самостоятельной работы. Следовать сходимость ряда, используя общий член ряда и признак Даламбера сходимости рядов:
Следовать сходимость ряда, используя общий член ряда
и признак Даламбера сходимости рядов:
1.
Ответ: q=5
, ряд расходится
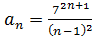
2.
Ответ: q=
, ряд сходится
3.
Ответ: q=3
, ряд расходится
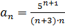
4.
Ответ: q=
, ряд сходится
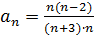
5.
Ответ: q=
, ряд расходится
6.
Ответ: q=49
, ряд расходится
7.
Ответ: q=0
, ряд сходится
Дата добавления: 2015-08-11; просмотров: 793;
