Следствие.
Если
и
, то из сходимости одного ряда следует сходимость другого, а из расходимости следует расходимость.
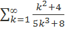
Исследуем ряд
на сходимость с помощью второго признака сравнения. В качестве ряда
возьмем сходящийся ряд
. Найдем предел отношения n-ых членов числовых рядов:
= 
Таким образом, по второму признаку сравнения из сходимости числового ряда 
следует сходимость исходного ряда.
Пример 3.
Исследовать на сходимость числовой ряд
.
Решение.
Проверим необходимое условие сходимости ряда
. Условие выполнено. Для применения второго признака сравнения возьмем гармонический ряд
. Найдем предел отношения k-ых членов:
=
Следовательно, из расходимости гармонического ряда следует расходимость исходного ряда по второму признаку сравнения.
Для информации приведем третий признак сравнения рядов.
Дата добавления: 2015-08-11; просмотров: 920;
