Частные производные высшего порядка. Смешанные производные.
Как уже отмечали, что производные
и
называют частными производными первого порядка или первыми частными производными. Сами частные производные могут являться функциями от нескольких переменных на некотором множестве. У этих функций тоже могут существовать частные, так называемые повторные, производные по x, и y или смешанные частные производные.
Так, частные производных второго обозначаются следующим образом:
или
;
или
;
или
;
или
;.
Аналогично определяются частные производные 3-го, 4-го и более высоких порядков. Например, для функции z=f(x, y) имеем:
,
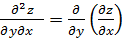
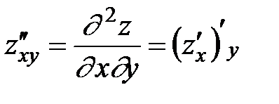
Частные производные второго или более высокого порядка, взятые по различным переменным, называются смешанными частными производными. Для функции
таковыми являются производные
. Заметим, что в случае, когда смешанные производные
непрерывны, то имеет место равенство
.
Пример 5. Найти частные производные второго порядка функции
.
Решение. Частные производные первого порядка для данной функции найдены в примере 3:

Дифференцируя
и
по переменным х и y, получим
,
;
;
.
5. Экстремум функции нескольких переменных. Необходимые и достаточные условия существования экстремума
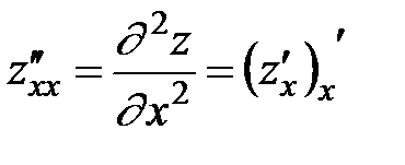
Сами частные производные могут являться функциями от нескольких переменных на некотором множестве. У этих функций тоже могут существовать частные производные по x и по y. Они называютсявторыми частными производными или частными производными второго порядка и обозначаются zxx
, zyy'
, zxy
или. Согласно определению
;
. Последняя частная производная второго порядка называется смешанной. Смешанная частная производная второго порядка, вообще говоря, зависит от того, в какой последовательности берутся переменные, по которым вычисляется производная. Так, производная
. Однако существует теорема, утверждающая, что если смешанные частные производные второго порядка непрерывны, то они не зависят от того, в какой последовательности
вычислялись частные производные по x и по y.
Дата добавления: 2015-08-11; просмотров: 1798;
