Правило Лопиталя для нахождения предела функции.
1. Теорема. Предел отношения двух бесконечно малых или бесконечно больших функций равен пределу отношения их производных (конечному или бесконечному), если последний существует в указанном смысле.
т.е. при раскрытии неопределенностей вида
или
можно использовать формулу:
.
Пример.
=
= 
Пример: Найти предел
.
Как видно, при попытке непосредственного вычисления предела получается неопределенность вида
. Функции, входящие в числитель и знаменатель дроби удовлетворяют требованиям теоремы Лопиталя.
f¢(x) = 2x +
; g¢(x) = ex;
;
Пример: Найти предел
.
;
;
.
Если при решении примера после применения правила Лопиталя попытка вычислить предел опять приводит к неопределенности, то правило Лопиталя может быть применено второй раз, третий и т.д. пока не будет получен результат. Естественно, это возможно только в том случае, если вновь полученные функции в свою очередь удовлетворяют требованиям теоремы Лопиталя.
Пример: Найти предел
.
;
;
;
;

;
; 
Следует отметить, что правило Лопиталя – всего лишь один из способов вычисления пределов. Часто в конкретном примере наряду с правилом Лопиталя может быть использован и какой – либо другой метод (замена переменных, домножение и др.).
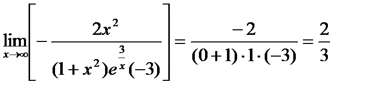
Пример: Найти предел
.
;
;
- опять получилась неопределенность. Применим правило Лопиталя еще раз.
;
;
- применяем правило Лопиталя еще раз.
;
;
;
Неопределенности вида
можно раскрыть с помощью логарифмирования. Такие неопределенности встречаются при нахождении пределов функций вида
, f(x)>0 вблизи точки а при х®а. Для нахождения предела такой функции достаточно найти предел функции lny = g(x)lnf(x).
Пример: Найти предел
.
Здесь y = xx, lny = xlnx.
Тогда
.
Следовательно 
Пример: Найти предел
.
;
- получили неопределенность. Применяем правило Лопиталя еще раз.
;
;
Дата добавления: 2015-08-11; просмотров: 2074;
