Арифметические операции с пределами.
Теорема 1: Пусть
, а
, тогда 
Док-во: По теореме о представлении функций, имеющих предел: f(x)=A+a(x), где a(x) – б/м при x®x0, а j (x)=B+b(x), где b(x) ‒ б/м при x®x0.


, как сумма двух б/м.
Ч.т.д.
Теорема 2: Пусть
, а
, тогда
.
Док-во: По теореме о представлении функций, имеющих предел: f(x)=A+a(x), где a(x) – б/м при x®x0, а j (x)=B+b(x), где b(x) ‒ б/м при x®x0.
f(x)·j (x)= (A±a(x))·(B+b(x))=A·B+A·b(x)+ a(x)·B+ a(x)·b(x)=A·B, так как A·b(x) и a(x)·B и a(x)·b(x) стремятся к нулю при x®x0 по свойствам б/м. Переходя к пределу при x®x0 получаем требуемое.
Ч.т.д.
Теорема 3: Пусть
, а
, тогда
, где B¹0.
Доказывается теорема аналогично теоремам 1 и 2.
Следствие:
, где C-const.
Неопределенности. Если не применимы основные теоремы о пределах, свойства б/м и б/б, то возникают неопределенности вида:
,
, (0·¥), (1¥), (00), (¥0), (¥-¥).
Рассмотрим три вида неопределенности:
, (¥-¥),
.
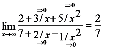
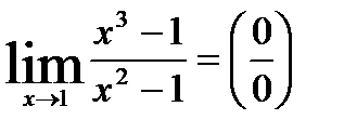
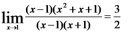
Пример. Вычислить пределы.
1)
=
= 
2)

3) 
от неопределенности избавимся следующим образом: разложим числитель и знаменатель на множители и сократим.

4) 
чтобы избавиться от иррациональности, надо умножить и поделить на сопряженное выражение.

Дата добавления: 2015-08-11; просмотров: 2418;
