Второй замечательный предел.

Доказательство:
Вспомним число
как предел числовой последовательности:

I случай.
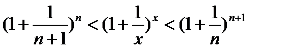
Пусть х>1, возьмем n=[x] – целая часть числа х.
n
х<n+1.
Перейдем к обратному выражению:


Возведем в степень:

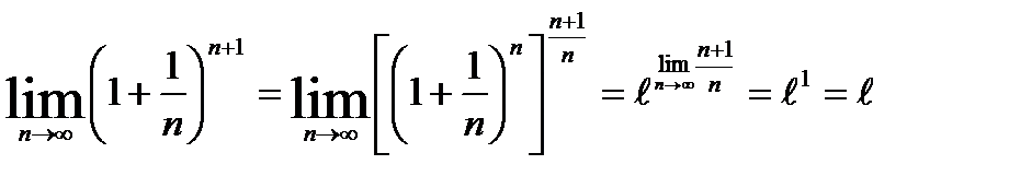
Вычислим предел левой и правой части двойного неравенства:


По теореме «о двух милиционерах»:

II случай.
Пусть х<-1: проведем аналогичные рассуждения и сделаем замену –х=y, получим:
.
Ч.т.д.
Второй замечательный предел для функций: 
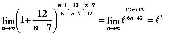
Пример:
1)
= 
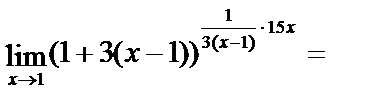
2)
=

Дата добавления: 2015-08-11; просмотров: 940;
